Subjects
Online Tutoring
Homework Help
Homework Library
Tutors
Online Classes
More
Bookstore
Blog
Technical Tips
FAQ
Contact Us
Get Help Now
Home
Homework Library
Mathematics
Abstract Algebra
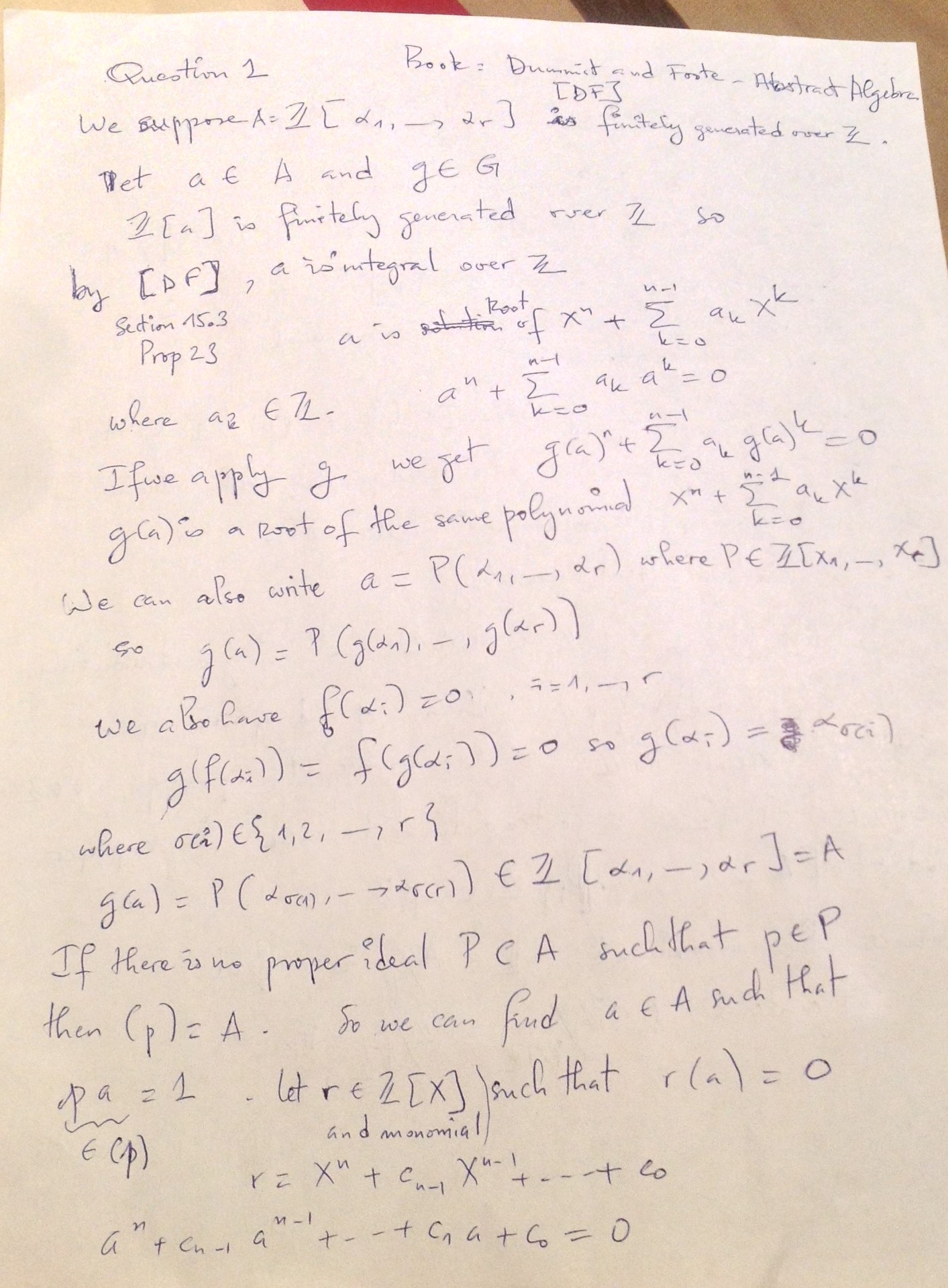
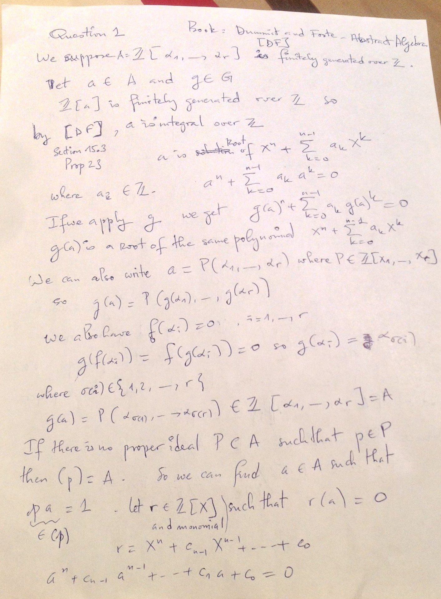
Let f(X) € Z[X] be a monic integer polynomial. Let p € ...
Let f(X) € Z[X] be a monic integer polynomial. Let p € Z be a p...