Subjects
Online Tutoring
Homework Help
Homework Library
Tutors
Online Classes
More
Bookstore
Blog
Technical Tips
FAQ
Contact Us
Get Help Now
Home
Homework Library
Mathematics
Abstract Algebra
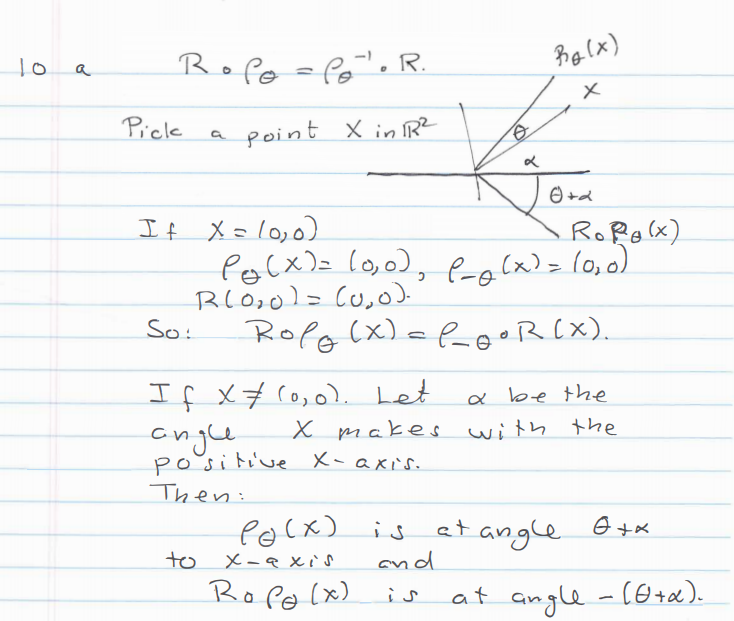
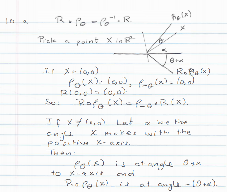
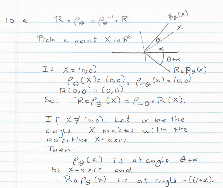
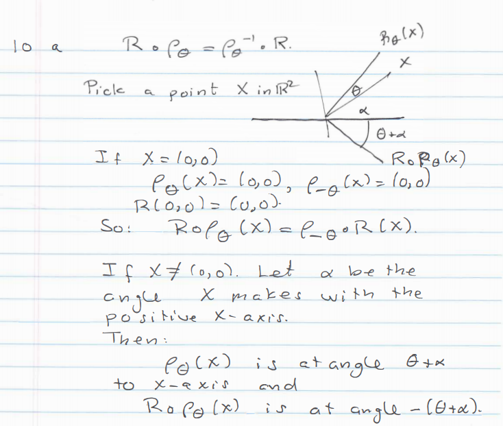
10. Let R be the reflection across the x-axis and let Ïθ be t...
10. Let R be the reflection across the x-axis and let Ïθ be the c...