Subjects
Online Tutoring
Homework Help
Homework Library
Tutors
Online Classes
More
Bookstore
Blog
Technical Tips
FAQ
Contact Us
Get Help Now
Home
Homework Library
Mathematics
Abstract Algebra
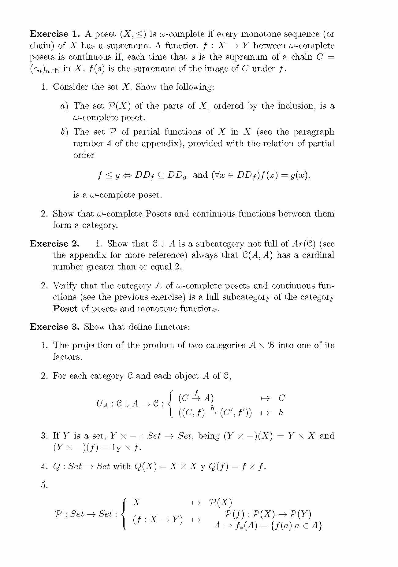
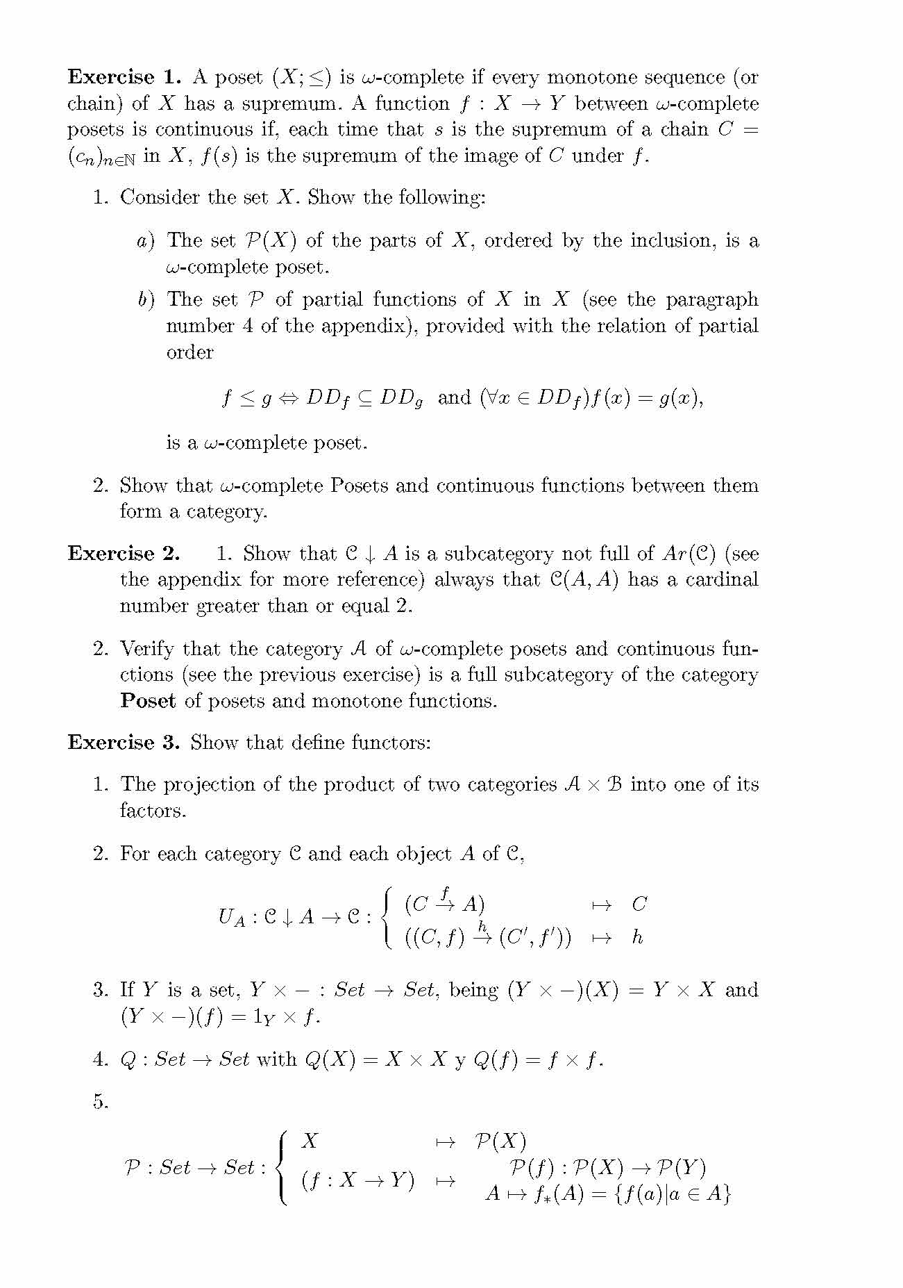
Exercise 1. A poset (X; ≤) is ω-complete if every monoton...
Exercise 1. A poset (X; ≤) is ω-complete if every monotone seque...