Subjects
Online Tutoring
Homework Help
Homework Library
Tutors
Online Classes
More
Bookstore
Blog
Technical Tips
FAQ
Contact Us
Get Help Now
Home
Homework Library
Mathematics
Abstract Algebra
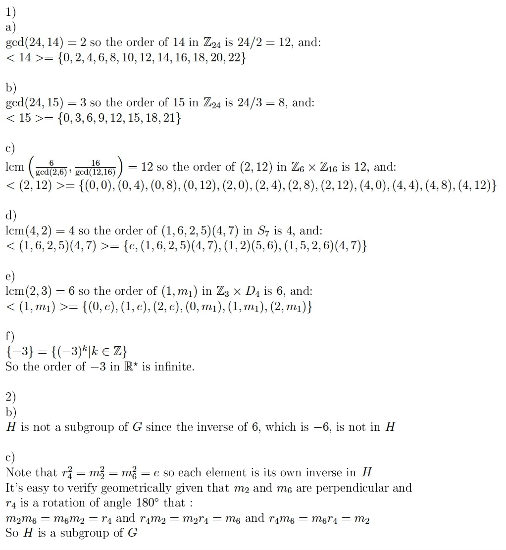
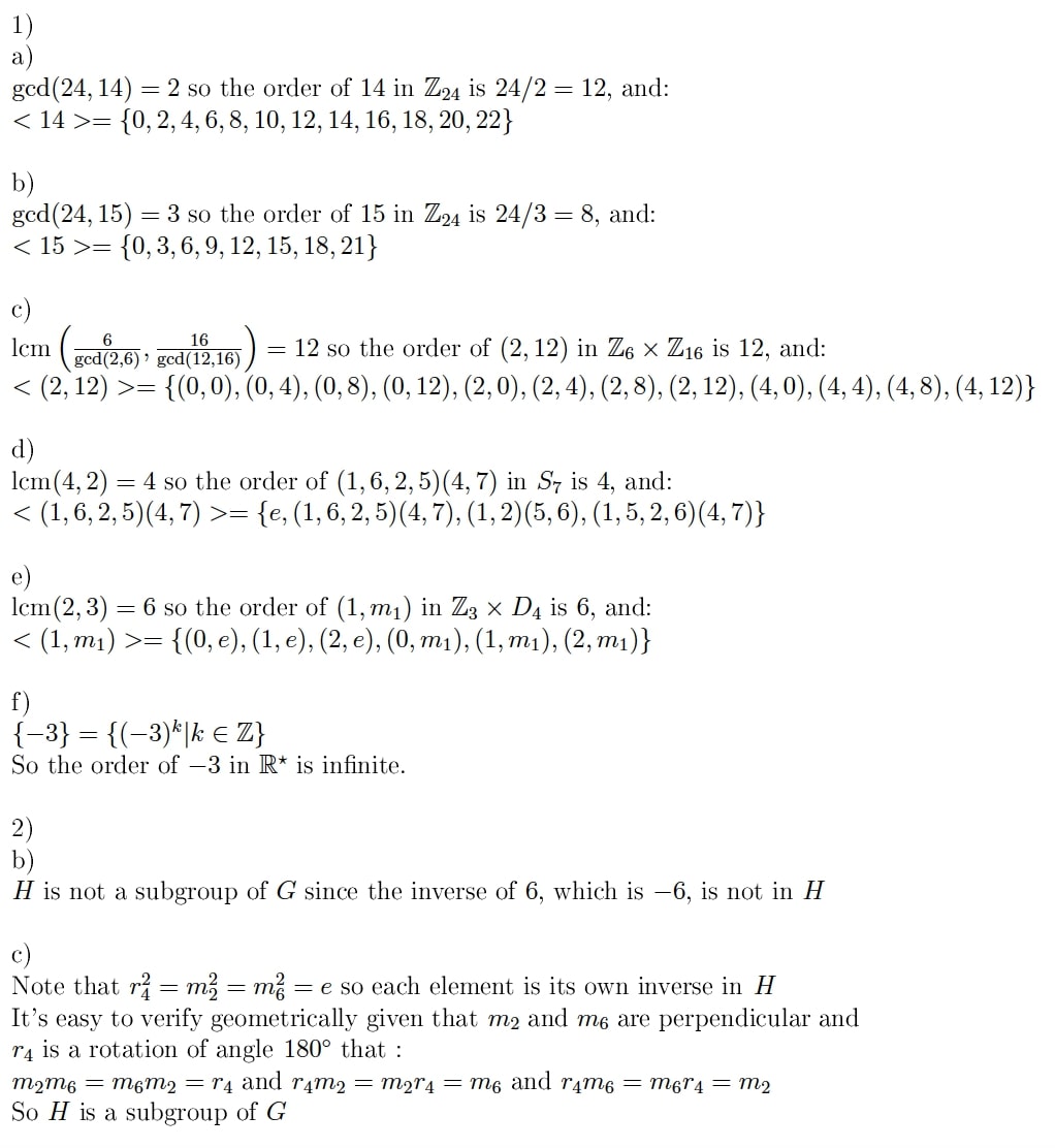
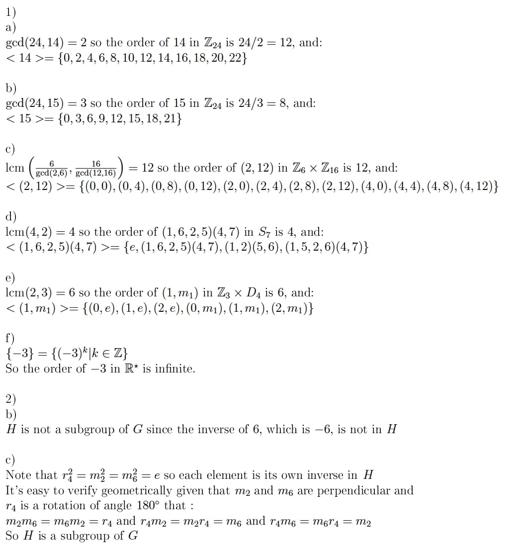
9. Let G and H be groups, witha € Gandb € H. (a) Prove...
9. Let G and H be groups, witha € Gandb € H. (a) Prove that if...