Subjects
Online Tutoring
Homework Help
Homework Library
Tutors
Online Classes
More
Bookstore
Blog
Technical Tips
FAQ
Contact Us
Get Help Now
Home
Homework Library
Mathematics
Abstract Algebra
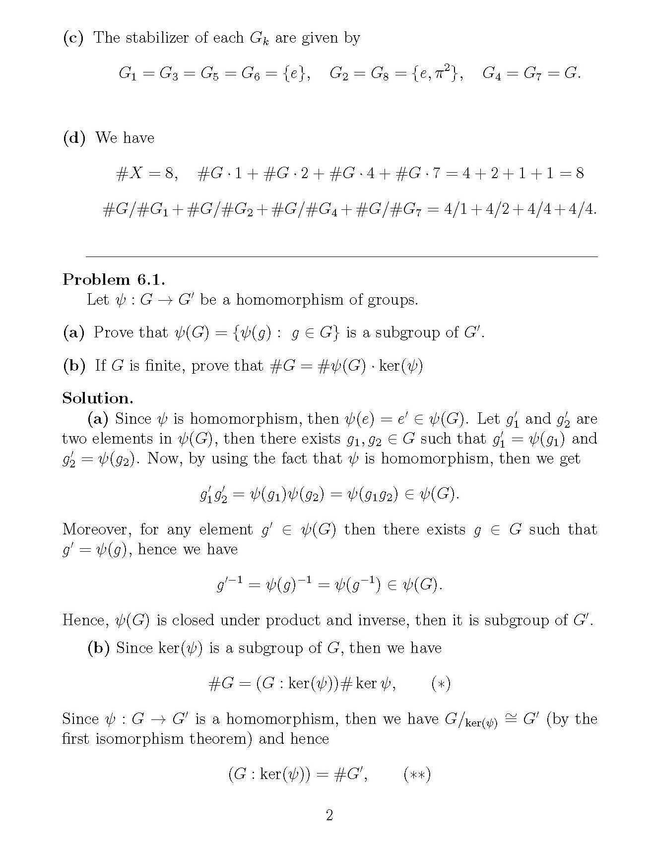
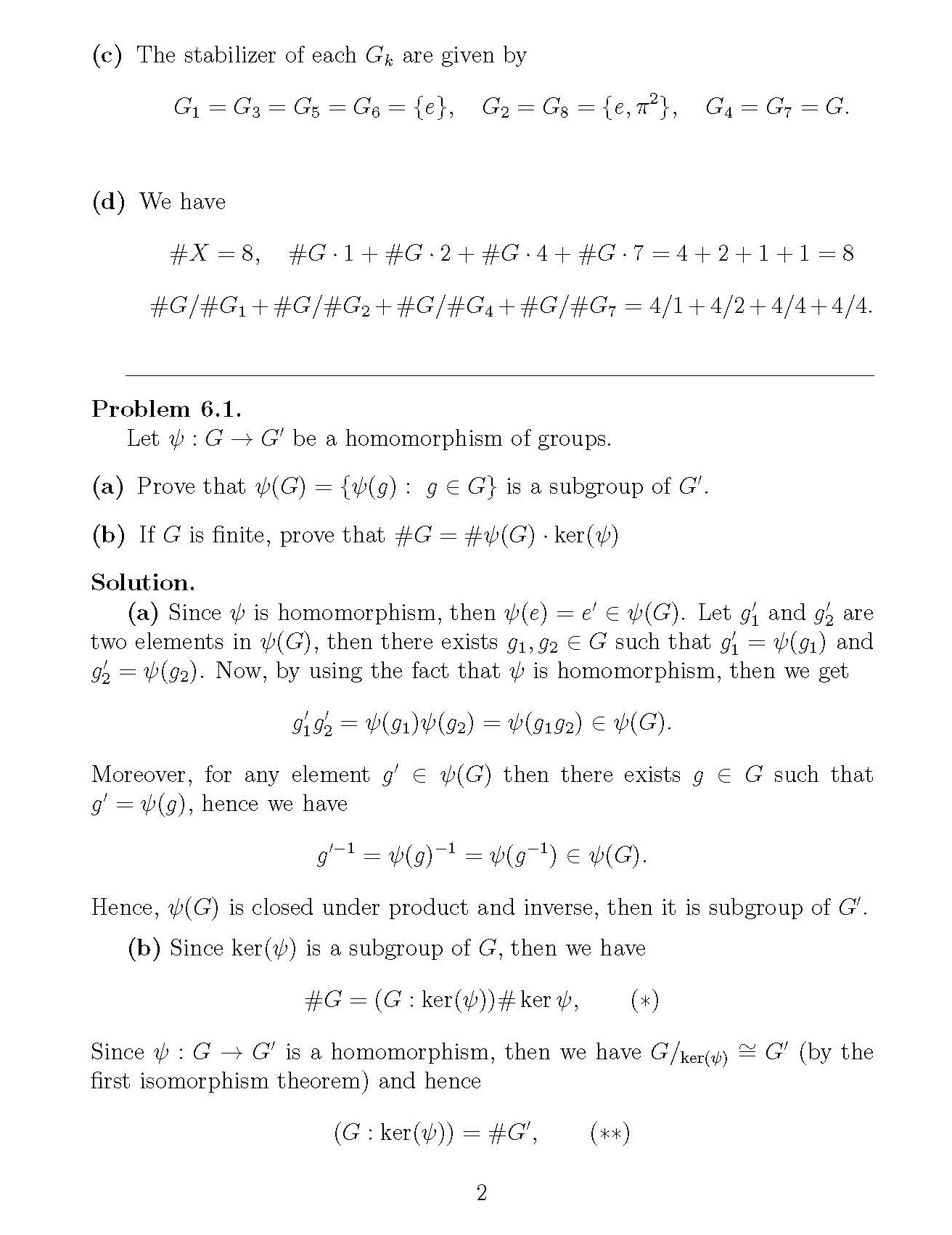
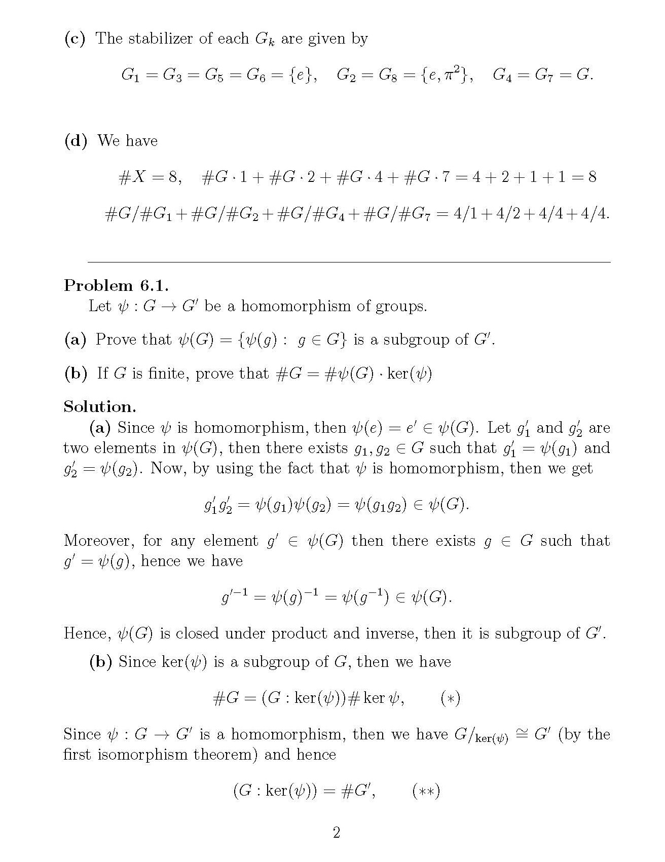
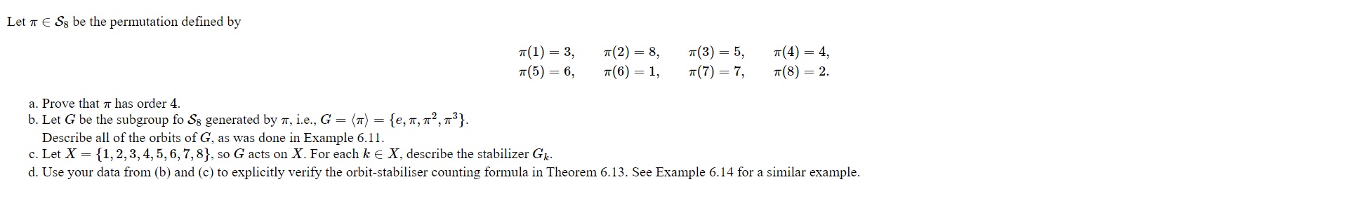
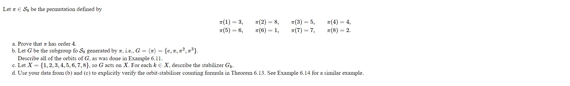
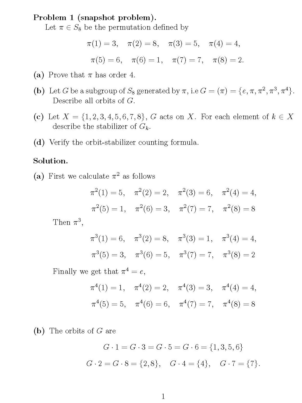
Let n € S8 be the permutation defined by (1) = 3, (2) = 8, ...
Let n € S8 be the permutation defined by (1) = 3, (2) = 8, (3)...