Subjects
Online Tutoring
Homework Help
Homework Library
Tutors
Online Classes
More
Bookstore
Blog
Technical Tips
FAQ
Contact Us
Get Help Now
Home
Homework Library
Mathematics
Advanced Math
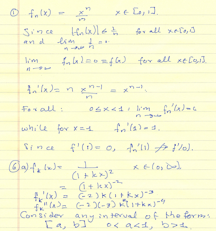
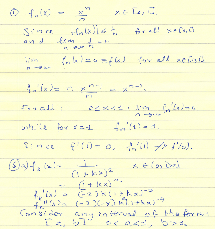
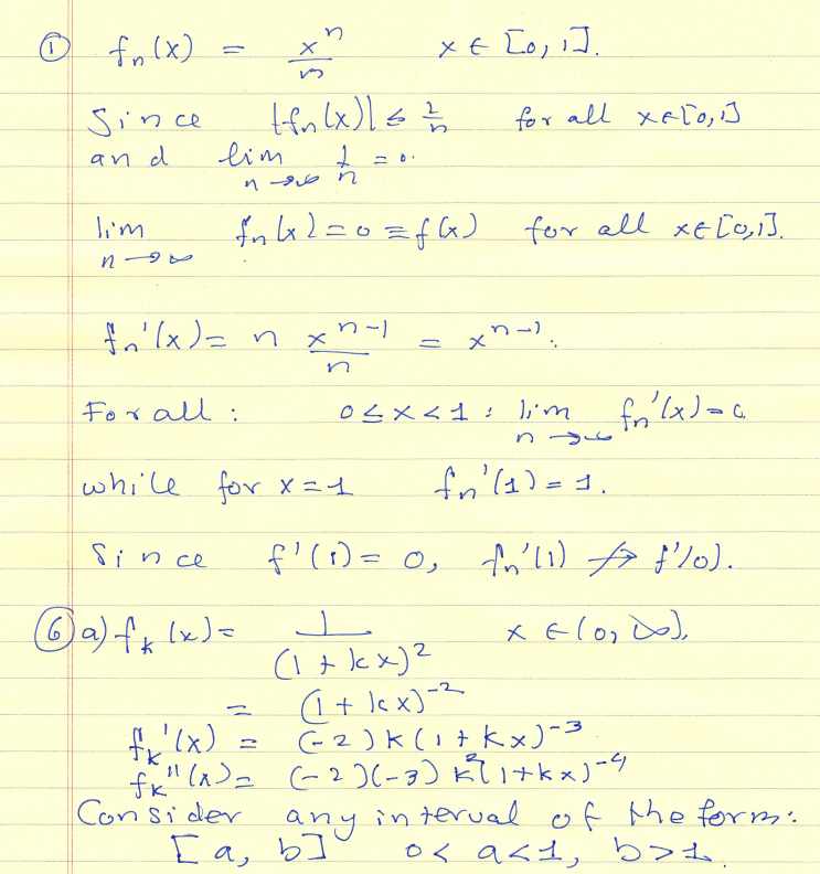
1. For n ∈ N, set fn(x) = x n/n, x ∈ [0, 1]. Prove that ...
1. For n ∈ N, set fn(x) = x n/n, x ∈ [0, 1]. Prove that the se...