Subjects
Online Tutoring
Homework Help
Homework Library
Tutors
Online Classes
More
Bookstore
Blog
Technical Tips
FAQ
Contact Us
Get Help Now
Home
Homework Library
Mathematics
Advanced Math
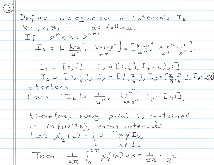
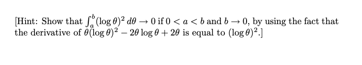
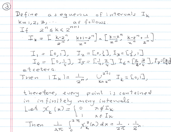
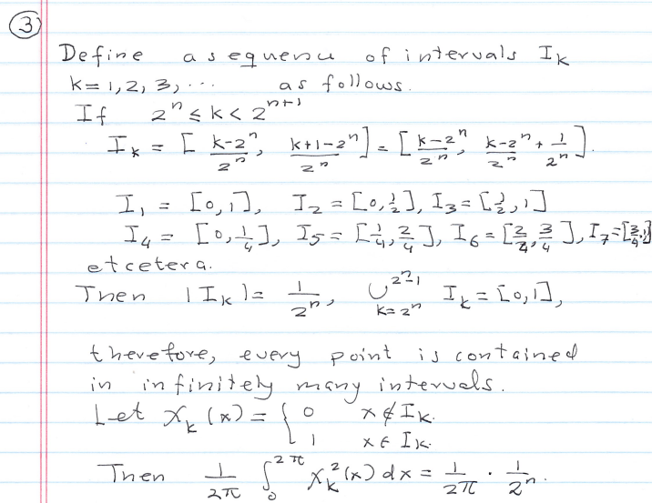
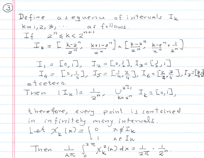
3. Construct a sequence of integrable functions {fk} on [0, 2Ï€]...
3. Construct a sequence of integrable functions {fk} on [0, 2Ï€] su...