Subjects
Online Tutoring
Homework Help
Homework Library
Tutors
Online Classes
More
Bookstore
Blog
Technical Tips
FAQ
Contact Us
Get Help Now
Home
Homework Library
Mathematics
Advanced Math
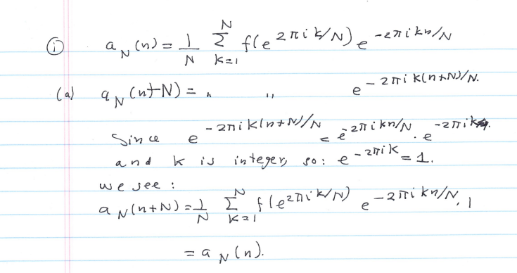
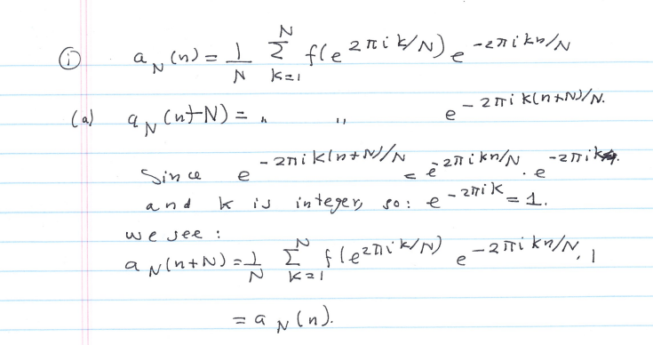
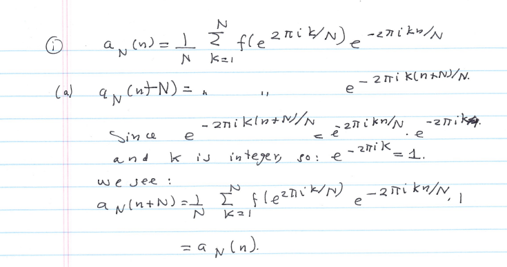
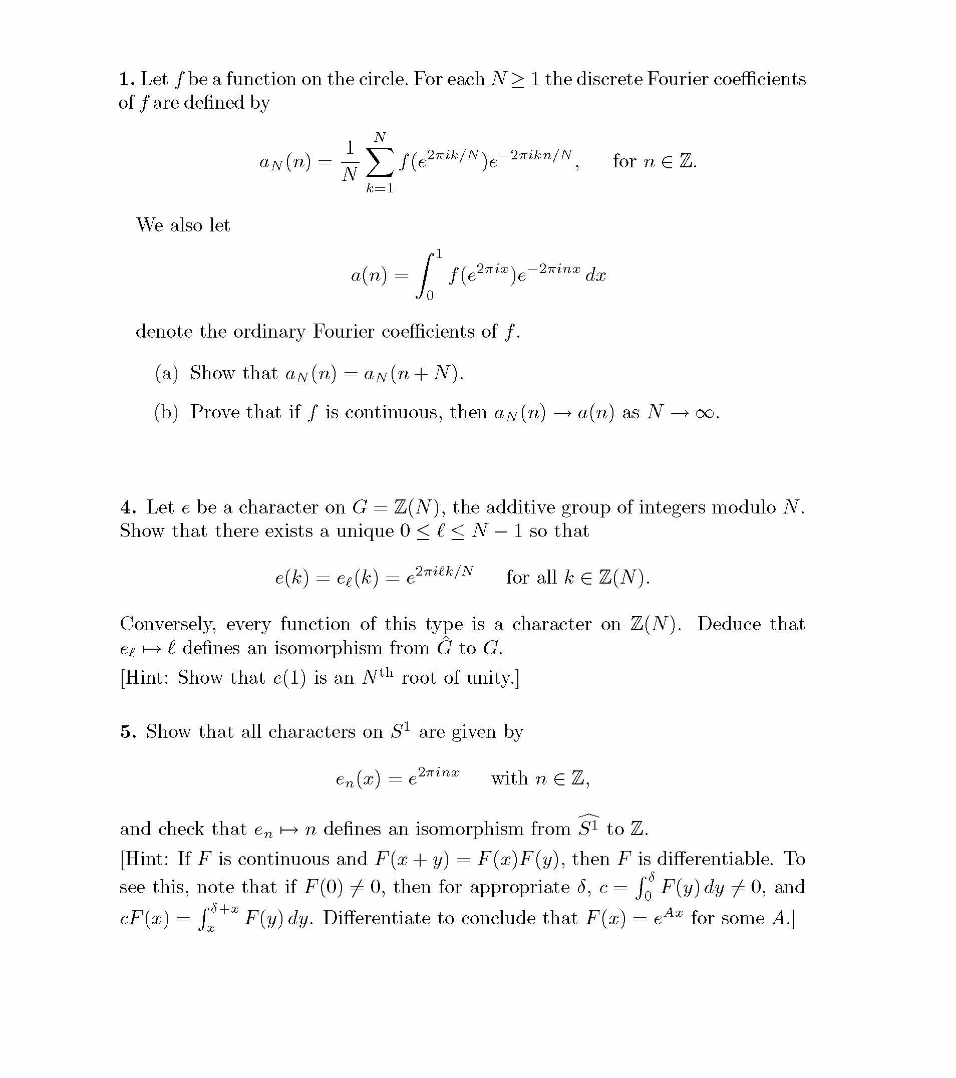
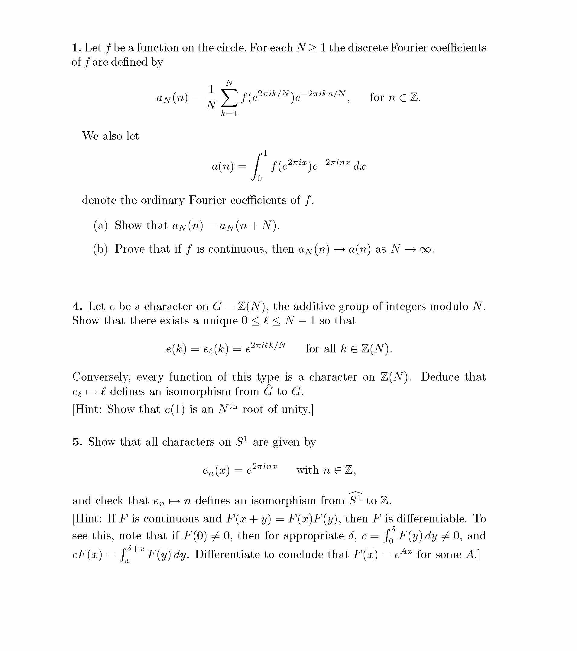
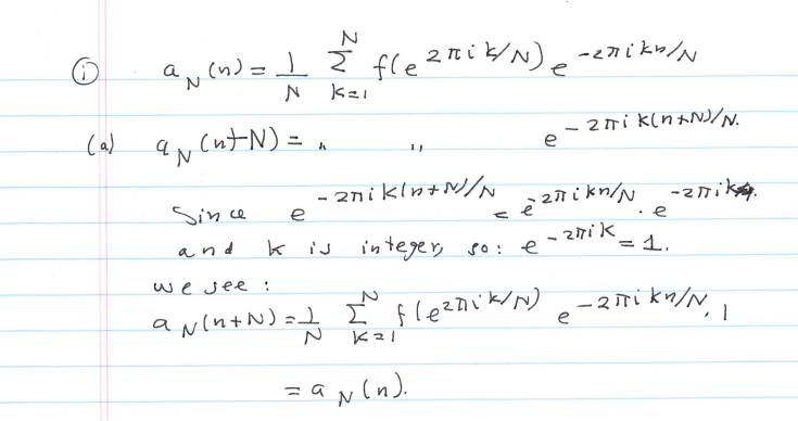
1. Let f be a function on the circle. For each N ≥ 1 the disc...
1. Let f be a function on the circle. For each N ≥ 1 the discrete...