Subjects
Online Tutoring
Homework Help
Homework Library
Tutors
Online Classes
More
Bookstore
Blog
Technical Tips
FAQ
Contact Us
Get Help Now
Home
Homework Library
Mathematics
Advanced Math
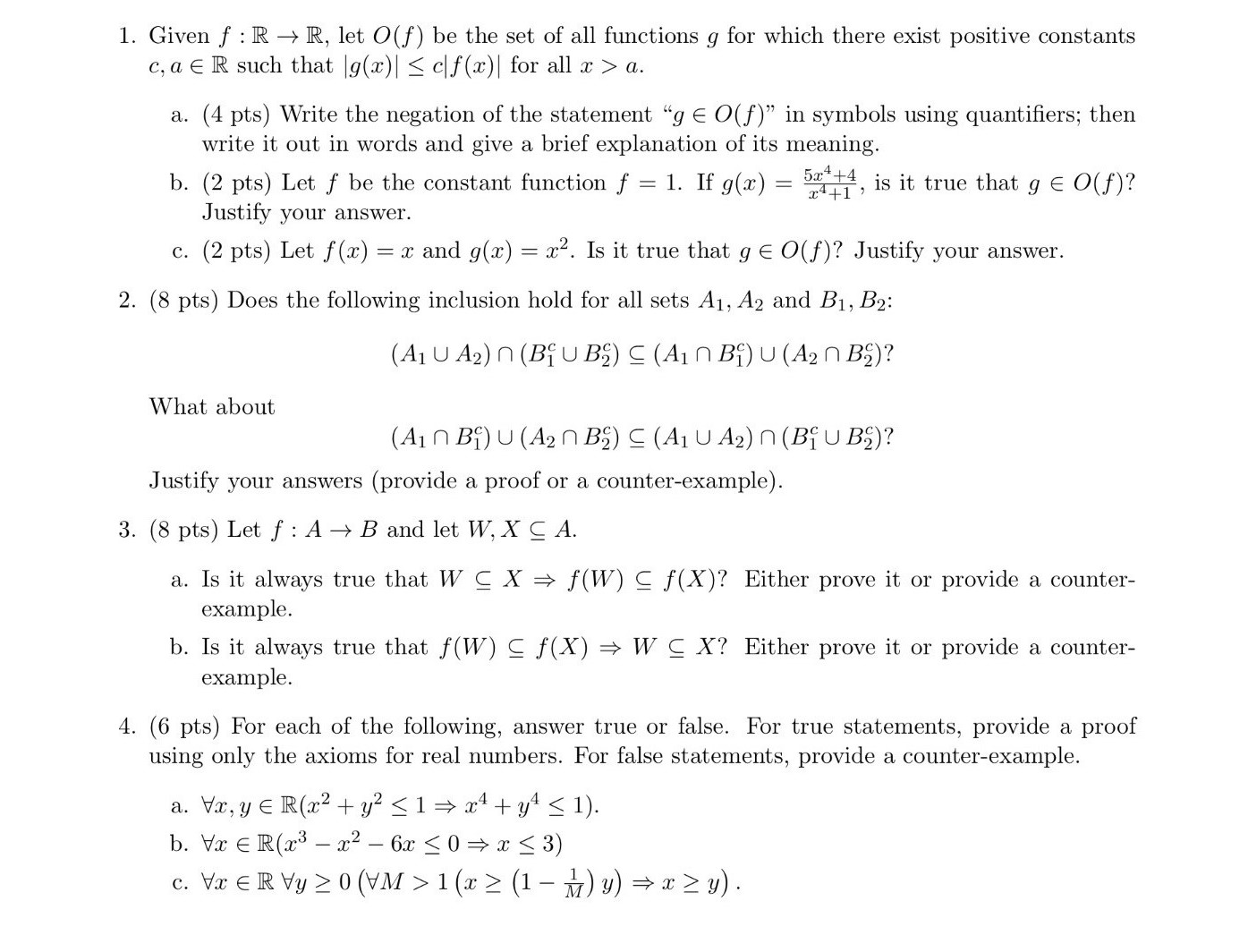
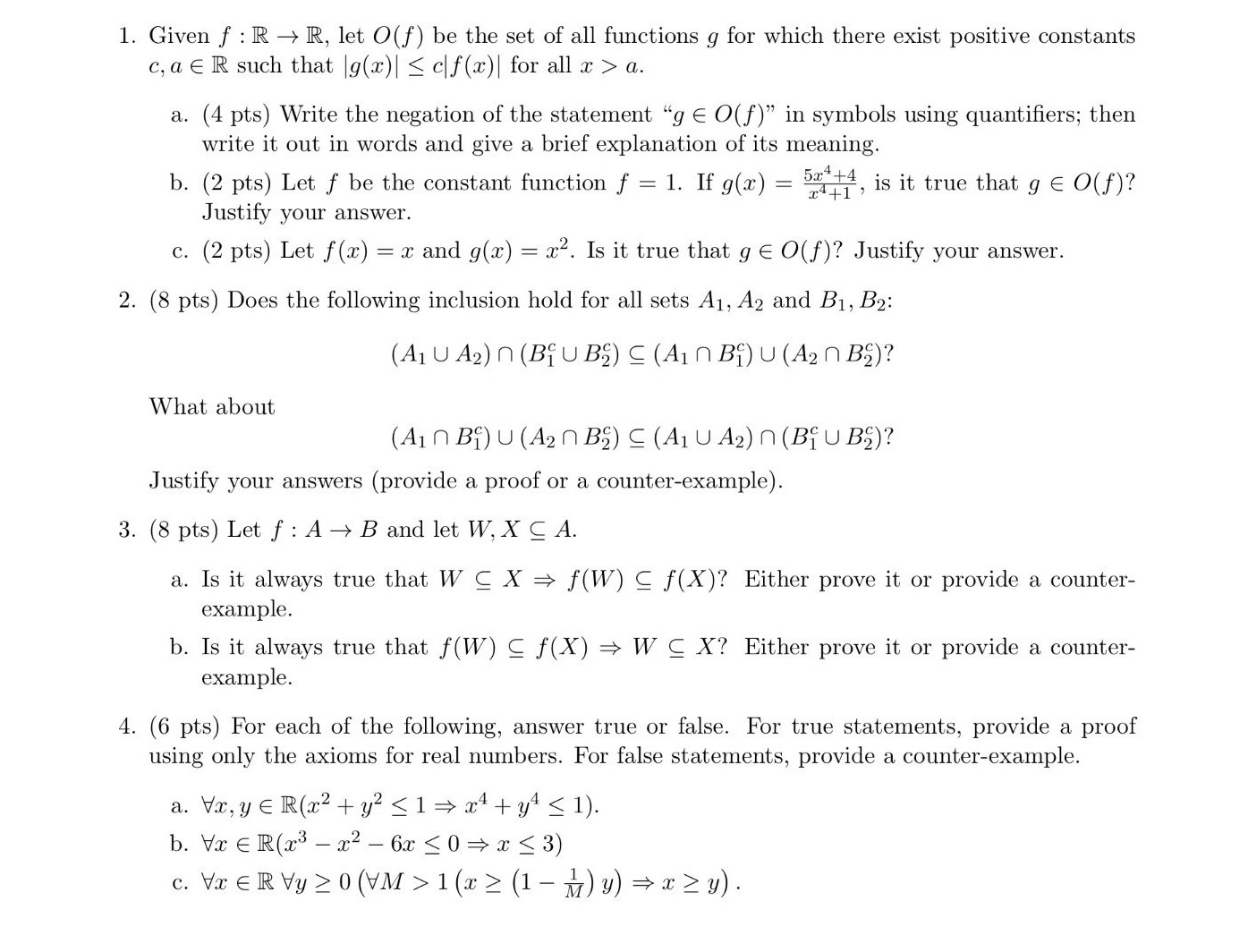
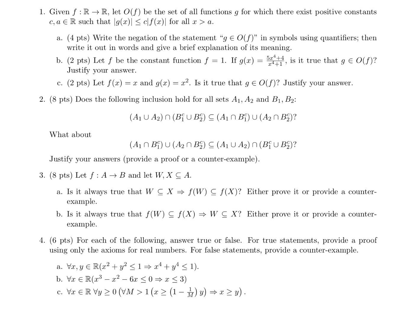
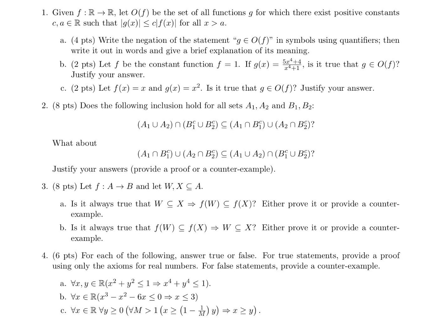
1. Given f : R R, let O(f) be the set of all functions g for which ...
1. Given f : R R, let O(f) be the set of all functions g for which...