Subjects
Online Tutoring
Homework Help
Homework Library
Tutors
Online Classes
More
Bookstore
Blog
Technical Tips
FAQ
Contact Us
Get Help Now
Home
Homework Library
Mathematics
Advanced Math
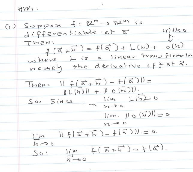
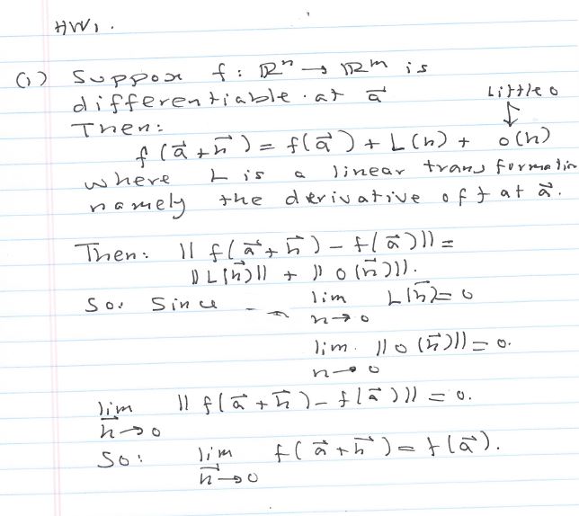
(1) If f : Rn ! Rm is dierentiable at ~a, prove that f is continuo...
(1) If f : Rn ! Rm is dierentiable at ~a, prove that f is continuo...