Subjects
Online Tutoring
Homework Help
Homework Library
Tutors
Online Classes
More
Bookstore
Blog
Technical Tips
FAQ
Contact Us
Get Help Now
Home
Homework Library
Mathematics
Advanced Math
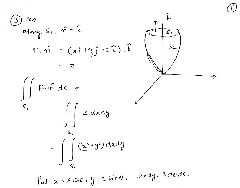
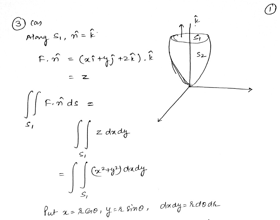
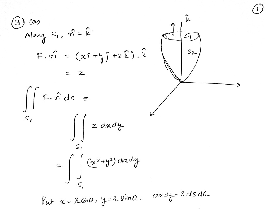
3. Surface Integrals: (+40) Let ~F = x~i +y~j +z~k. We want to eval...
3. Surface Integrals: (+40) Let ~F = x~i +y~j +z~k. We want to eval...