Subjects
Online Tutoring
Homework Help
Homework Library
Tutors
Online Classes
More
Bookstore
Blog
Technical Tips
FAQ
Contact Us
Get Help Now
Home
Homework Library
Mathematics
Advanced Math
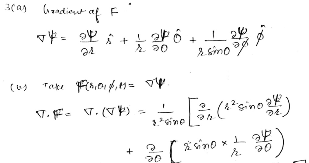
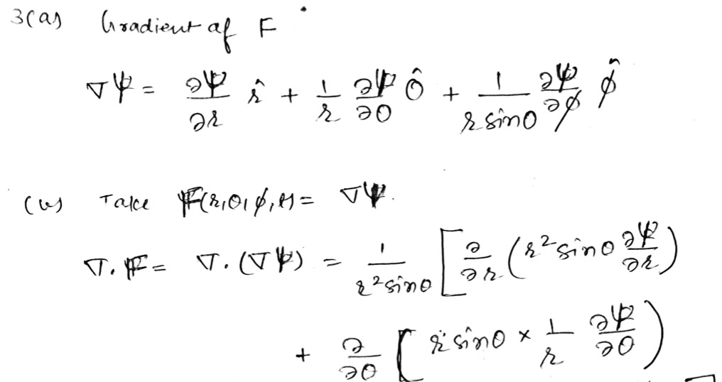
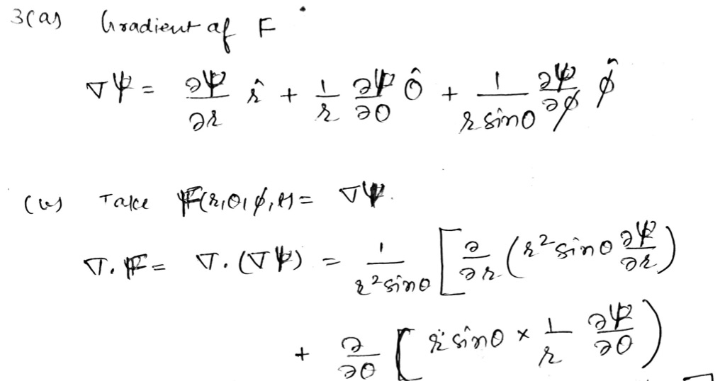
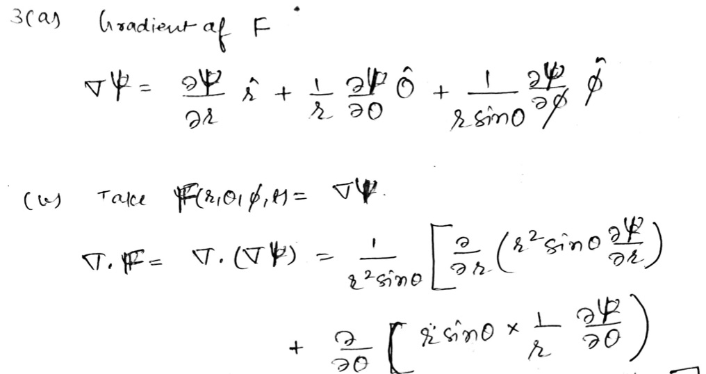
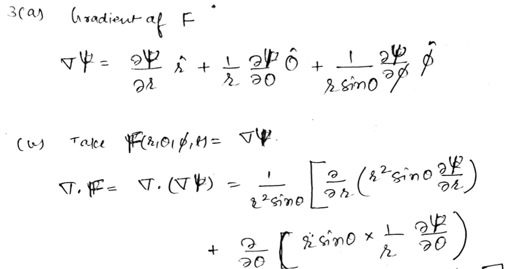
3. Heat Equation: (+50) In this question, we will solve a very part...
3. Heat Equation: (+50) In this question, we will solve a very part...