Subjects
Online Tutoring
Homework Help
Homework Library
Tutors
Online Classes
More
Bookstore
Blog
Technical Tips
FAQ
Contact Us
Get Help Now
Home
Homework Library
Mathematics
Advanced Math
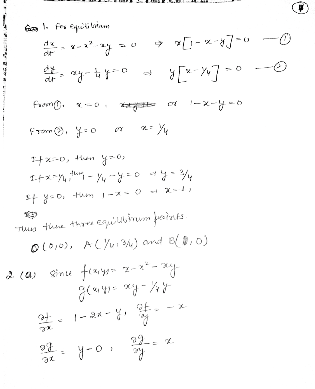
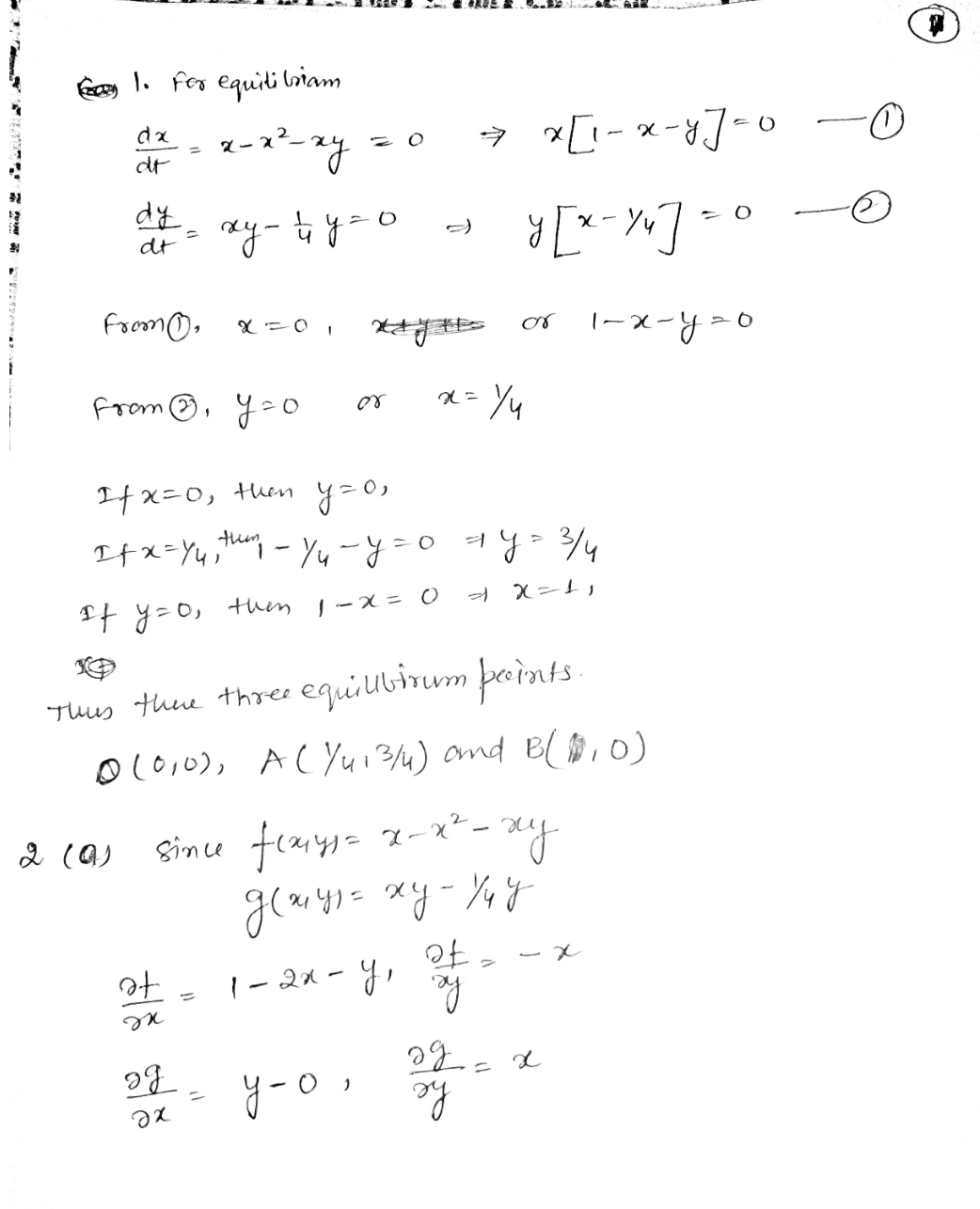
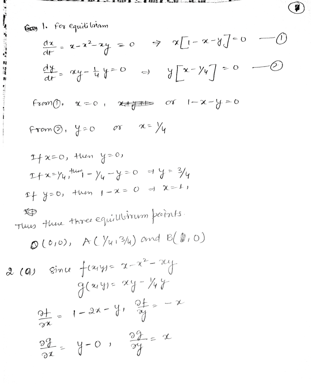
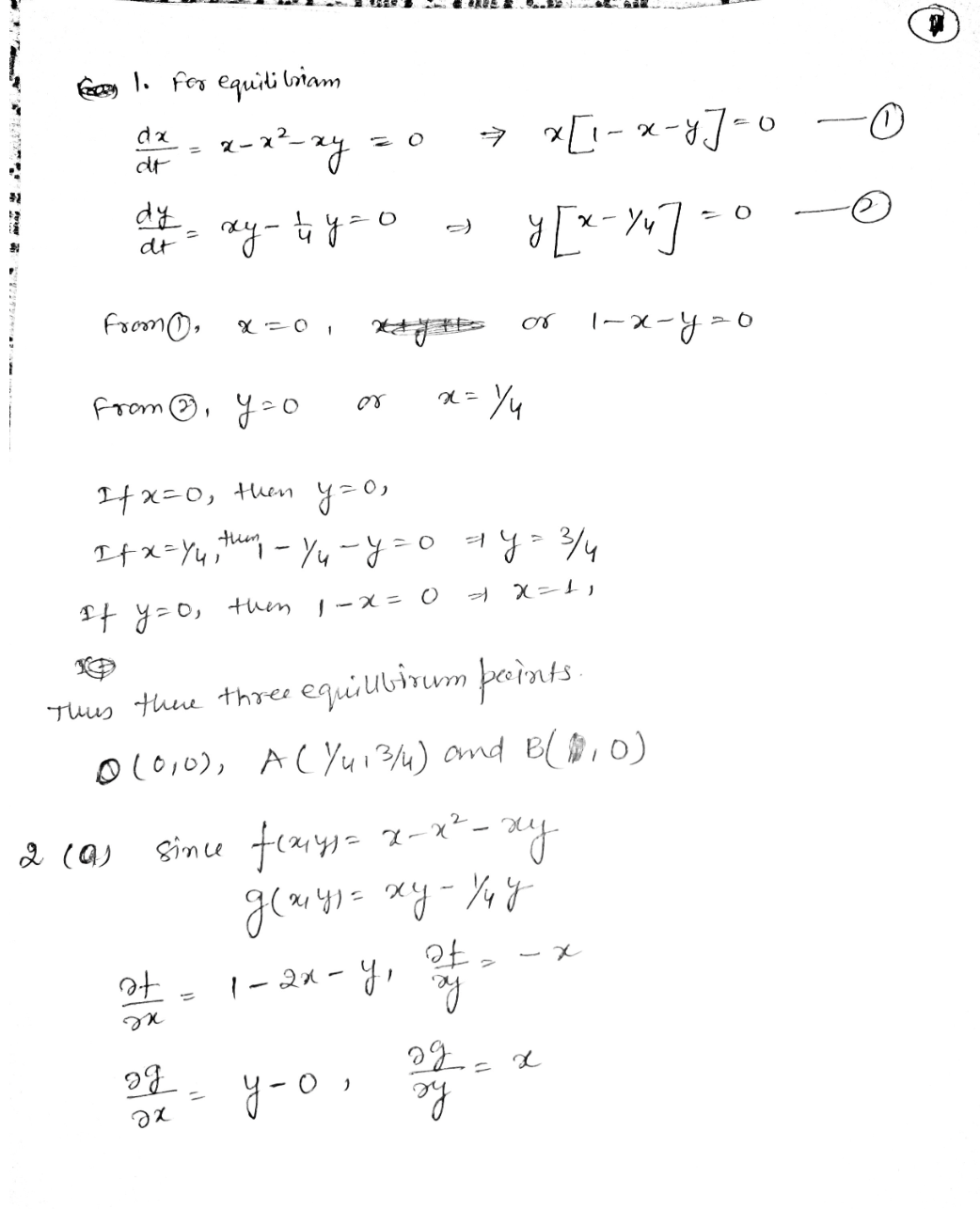
Below we introduced a modified Lokta-Volterra predator-prey model. ...
Below we introduced a modified Lokta-Volterra predator-prey model....