Subjects
Online Tutoring
Homework Help
Homework Library
Tutors
Online Classes
More
Bookstore
Blog
Technical Tips
FAQ
Contact Us
Get Help Now
Home
Homework Library
Mathematics
Advanced Math
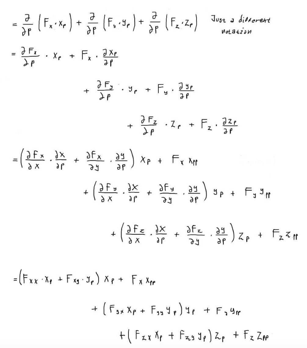
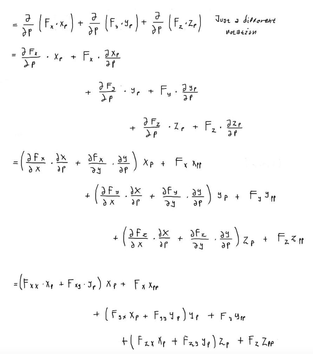
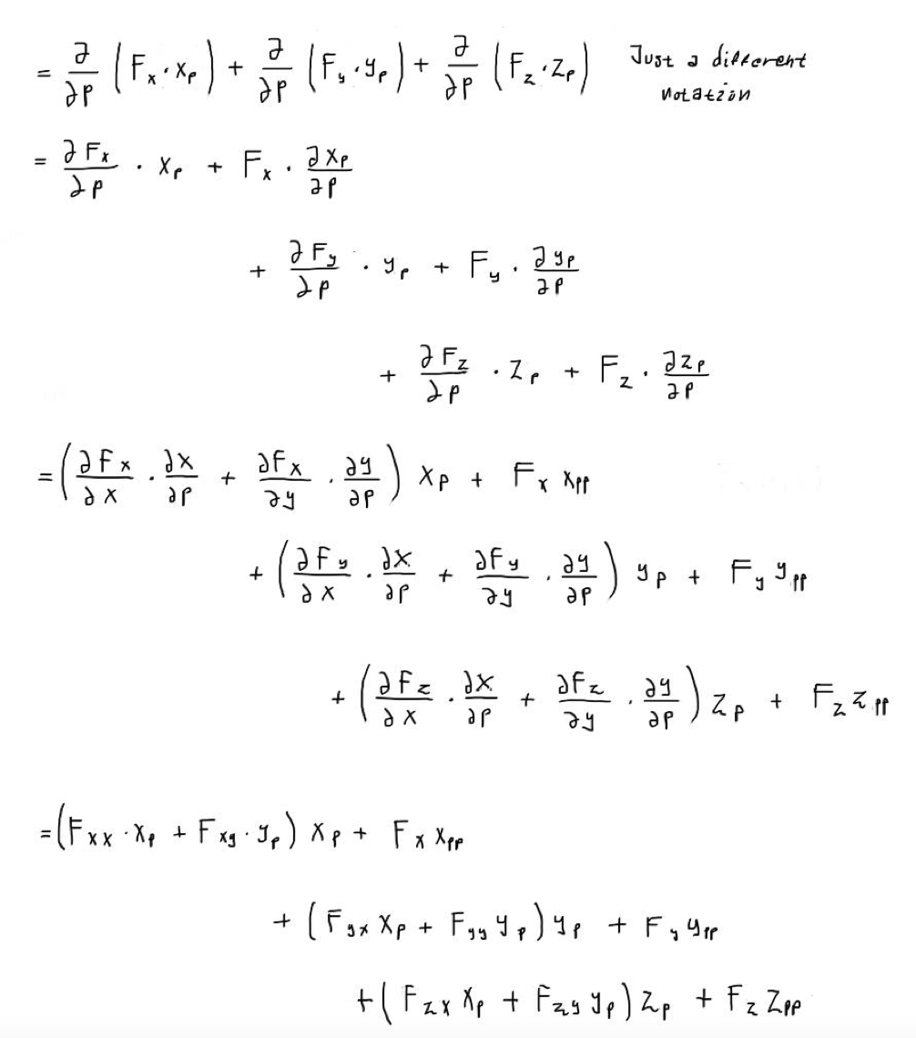
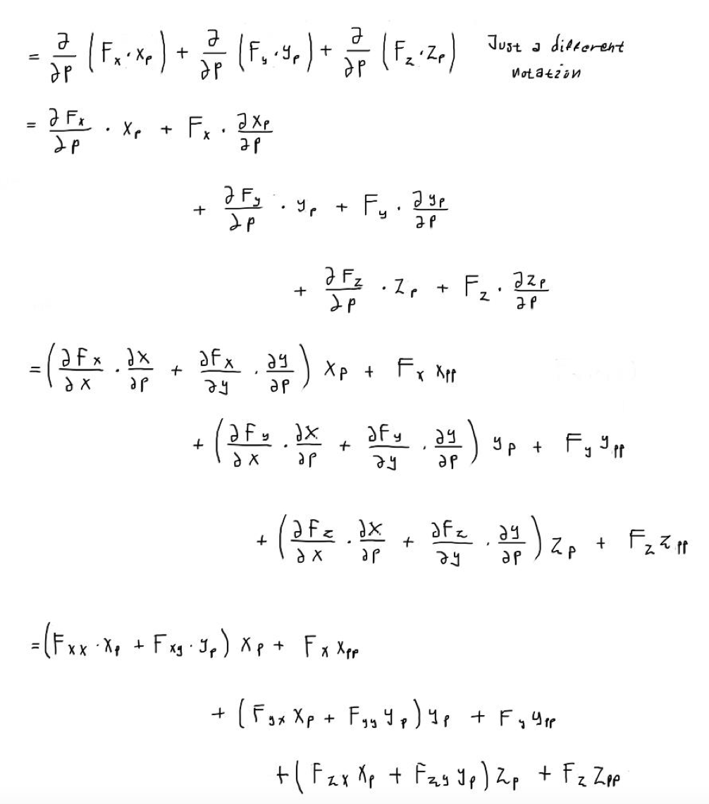
EXERCISES 11.4.1. Let F : R³ R and f, g, h : R² R be C2 f...
EXERCISES 11.4.1. Let F : R³ R and f, g, h : R² R be C2 funct...