Subjects
Online Tutoring
Homework Help
Homework Library
Tutors
Online Classes
More
Bookstore
Blog
Technical Tips
FAQ
Contact Us
Get Help Now
Home
Homework Library
Mathematics
Advanced Math
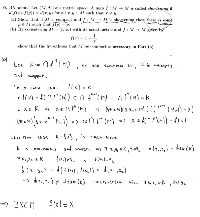
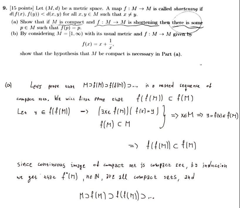
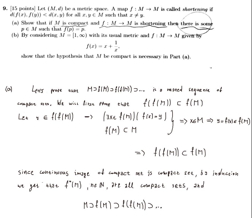
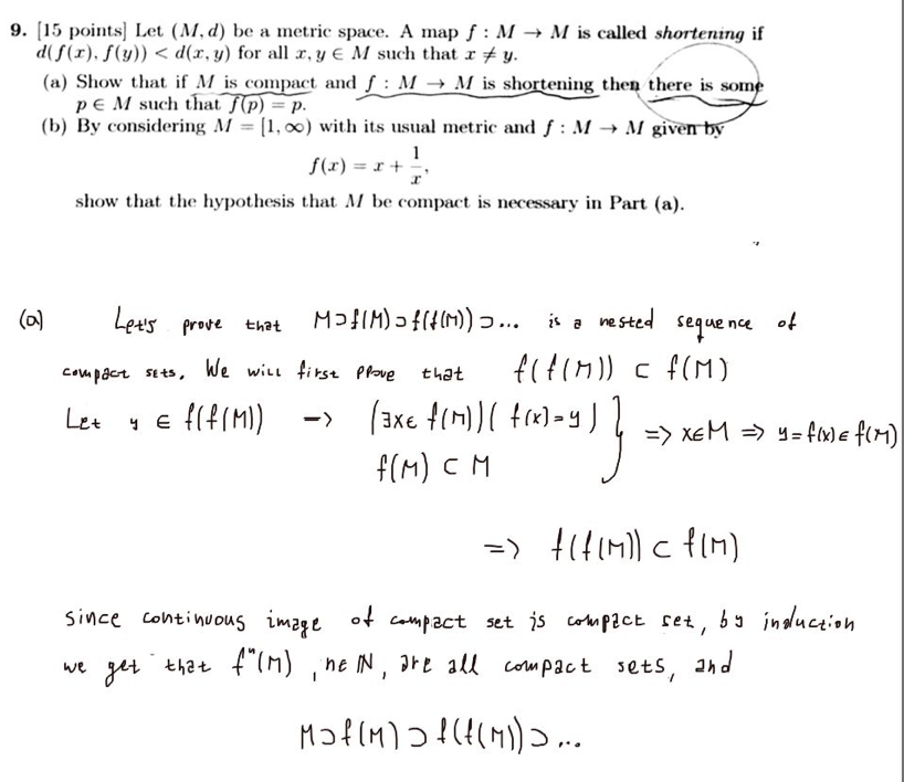
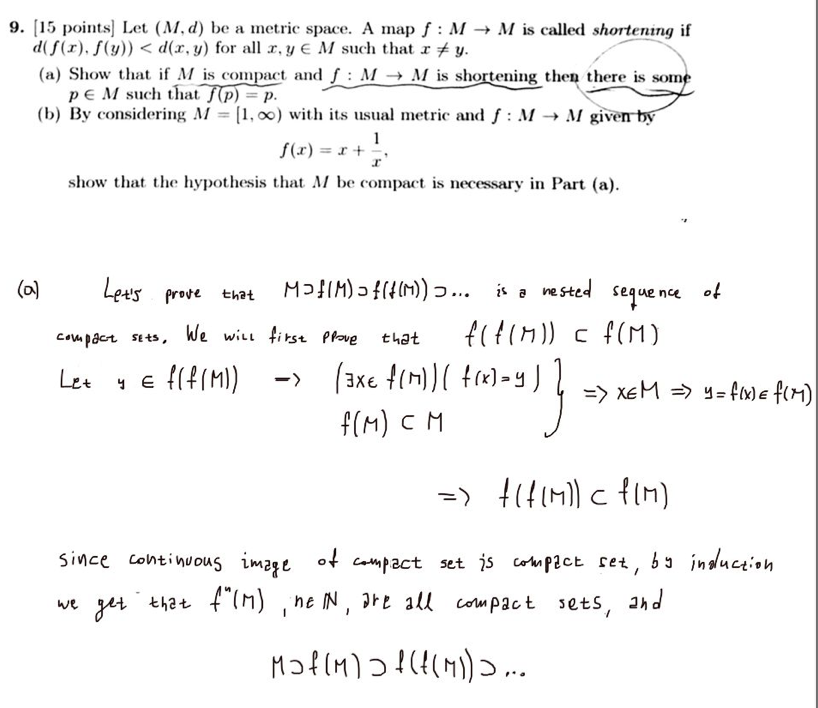
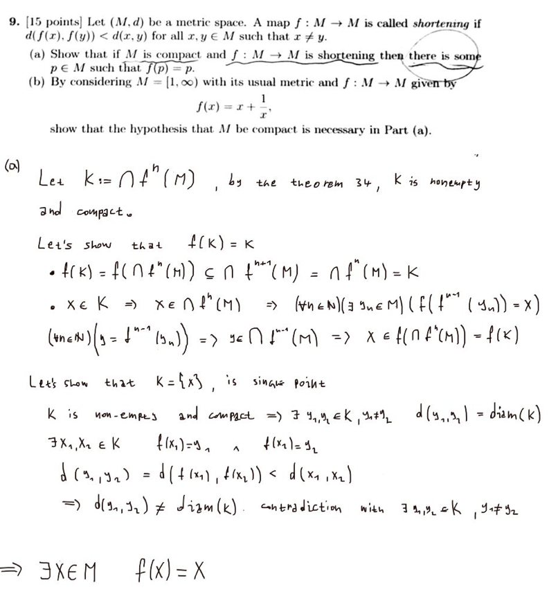
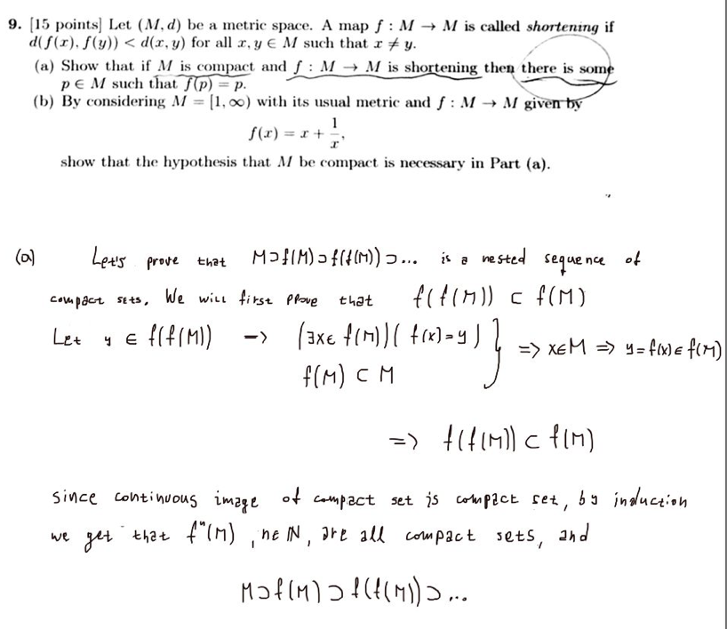
. [15 points] Let (M,d) be a metric space. A map f M M is called sh...
. [15 points] Let (M,d) be a metric space. A map f M M is called sh...