Subjects
Online Tutoring
Homework Help
Homework Library
Tutors
More
Bookstore
Blog
Technical Tips
FAQ
Contact Us
Get Help Now
Home
Homework Library
Mathematics
Advanced Math
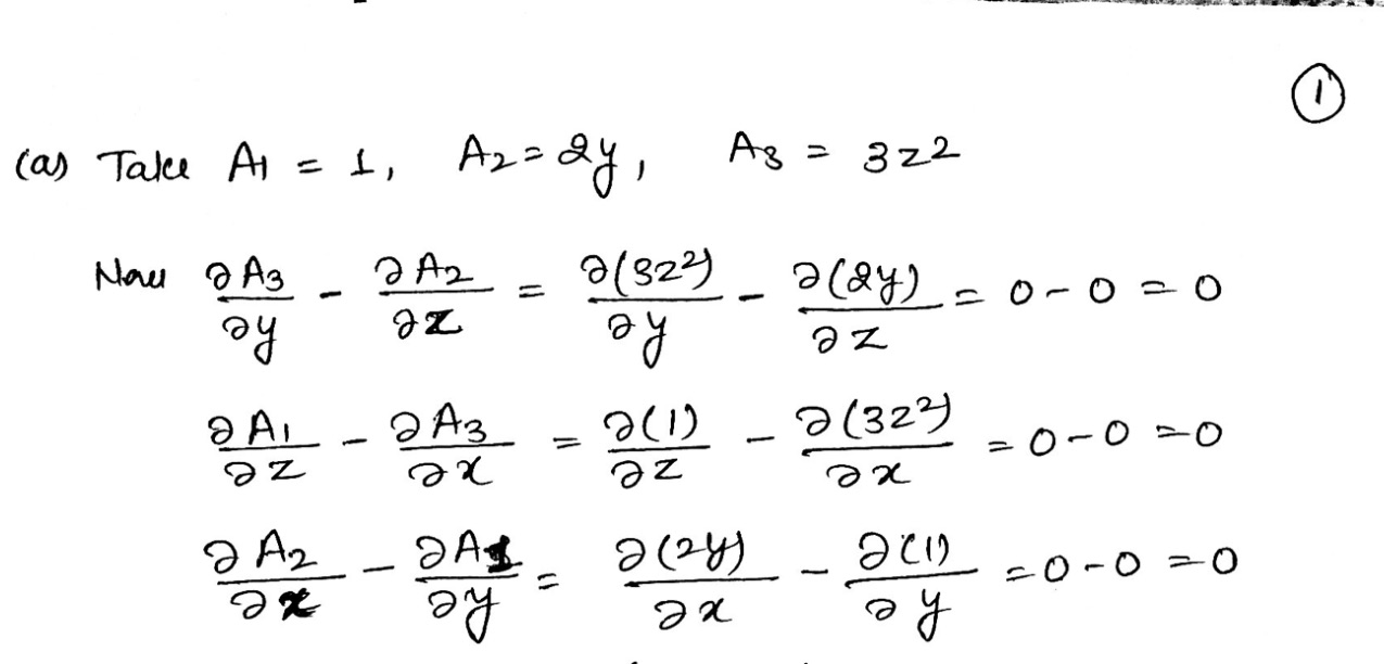
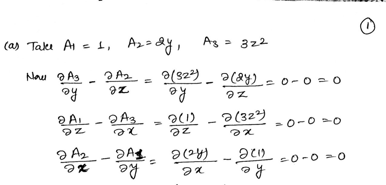
On an open subset U C R³, identify a 0-form with a function f(x,...
On an open subset U C R³, identify a 0-form with a function f(x,y,...