Subjects
Online Tutoring
Homework Help
Homework Library
Tutors
More
Bookstore
Blog
Technical Tips
FAQ
Contact Us
Get Help Now
Home
Homework Library
Mathematics
Advanced Math
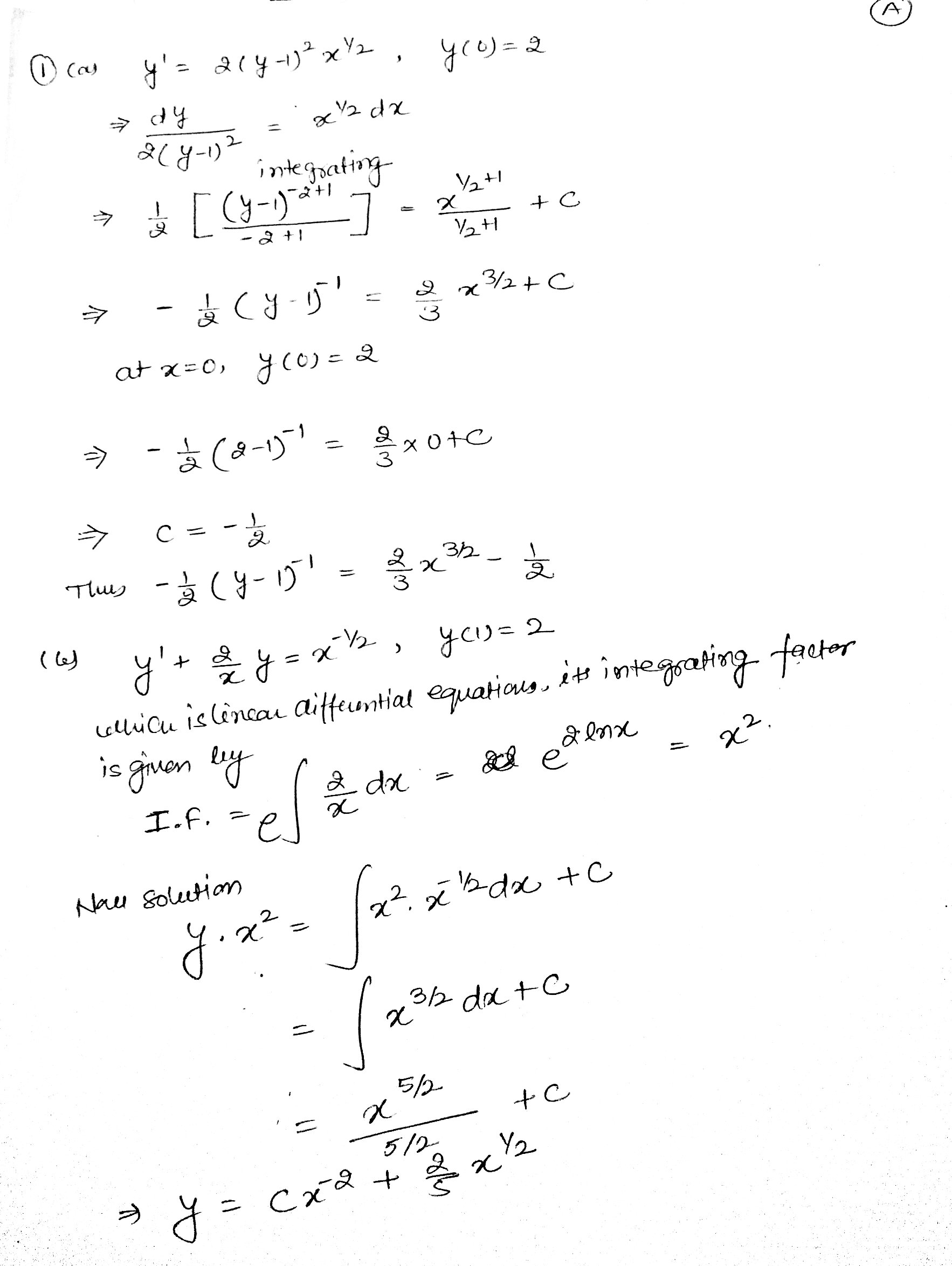
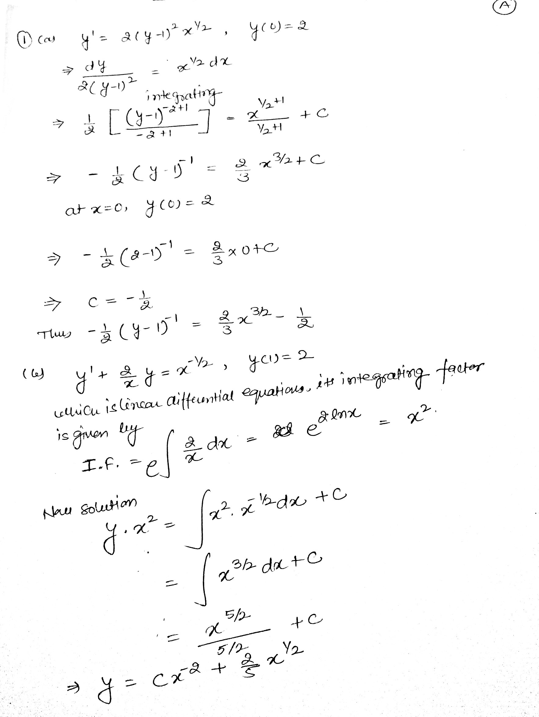
1. [15 marks] Solve the following initial-value problems (a)y2(y-1...
1. [15 marks] Solve the following initial-value problems (a)y2(y-1...