Subjects
Online Tutoring
Homework Help
Homework Library
Tutors
Online Classes
More
Bookstore
Blog
Technical Tips
FAQ
Contact Us
Get Help Now
Home
Homework Library
Mathematics
Advanced Math
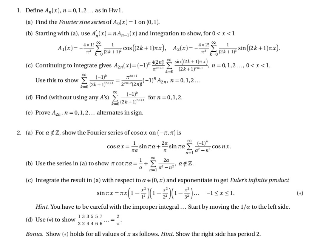
1. Define An(x), n=0,1,2.. as in Hwl. (a) Find the Fourier sine se...
1. Define An(x), n=0,1,2.. as in Hwl. (a) Find the Fourier sine se...