Subjects
Online Tutoring
Homework Help
Homework Library
Tutors
Online Classes
More
Bookstore
Blog
Technical Tips
FAQ
Contact Us
Get Help Now
Home
Homework Library
Mathematics
Advanced Math
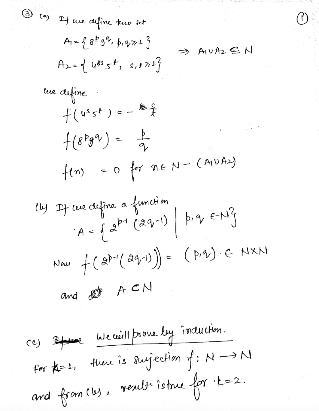
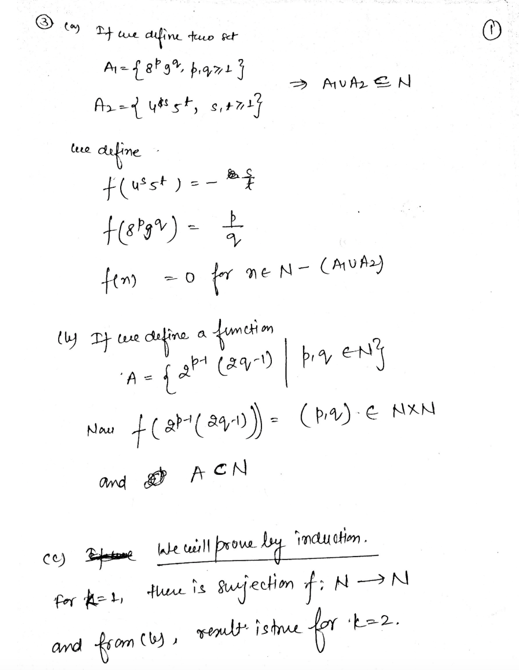
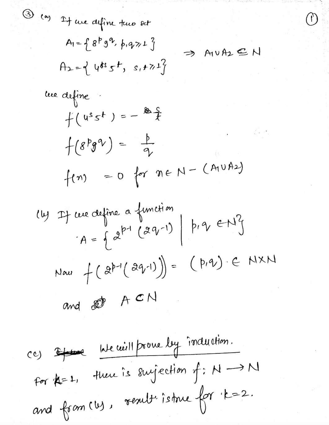
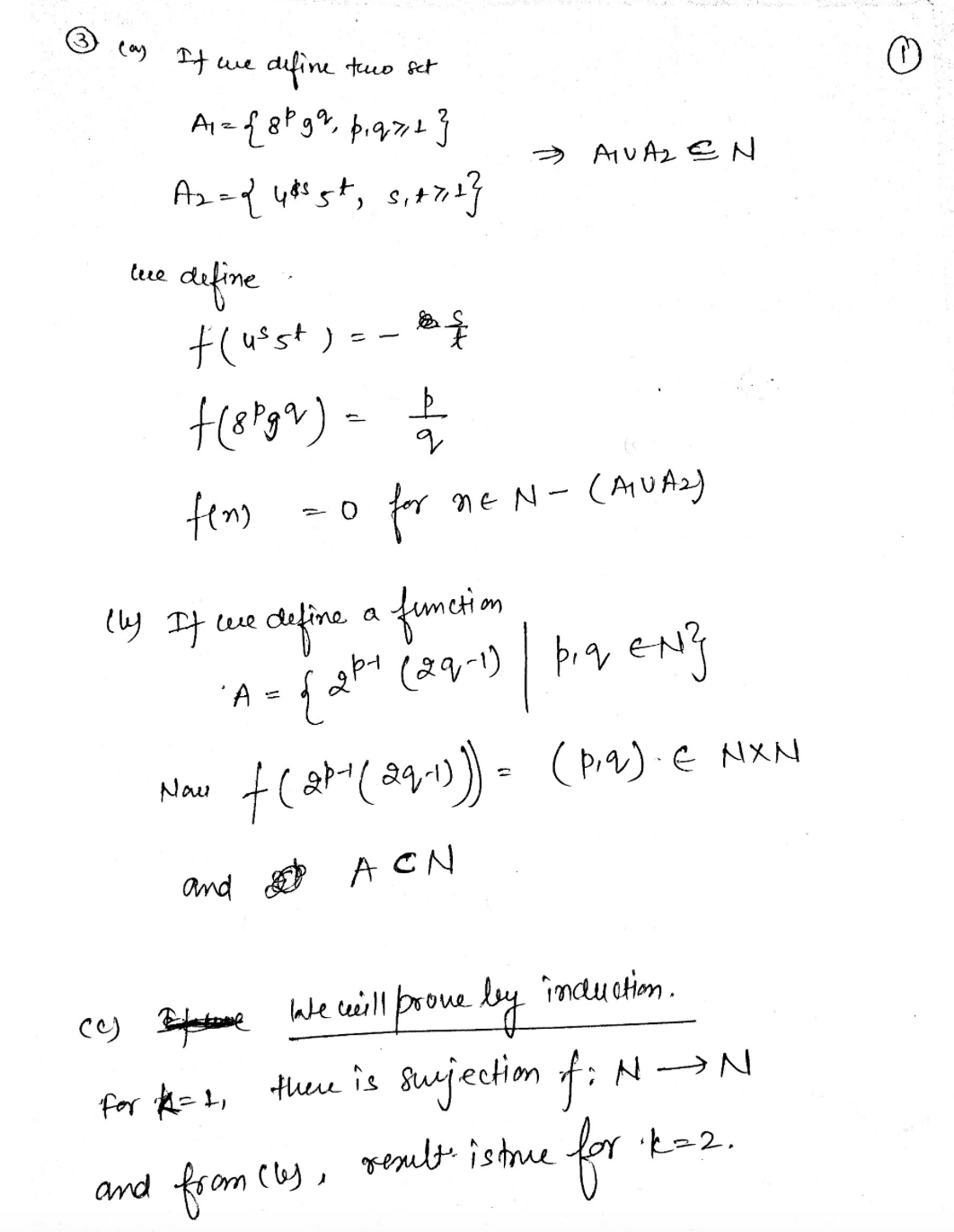
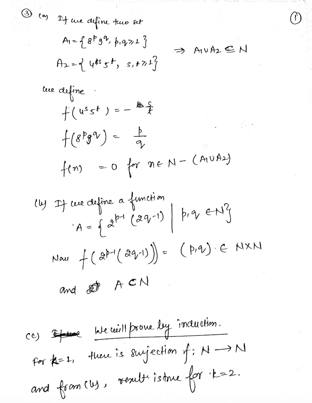
Problem 3 (10+10pts) Prove the following statements. 1. There is a...
Problem 3 (10+10pts) Prove the following statements. 1. There is a...