Subjects
Online Tutoring
Homework Help
Homework Library
Tutors
Online Classes
More
Bookstore
Blog
Technical Tips
FAQ
Contact Us
Get Help Now
Home
Homework Library
Mathematics
Advanced Math
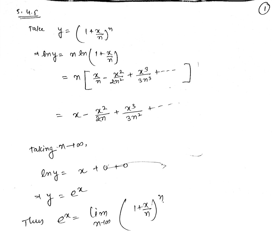
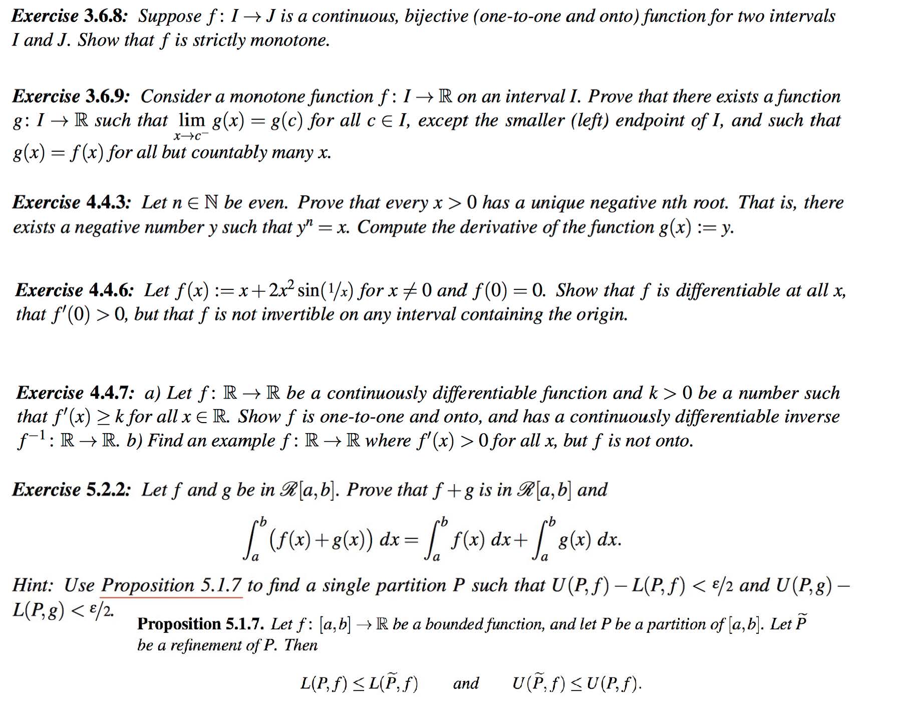
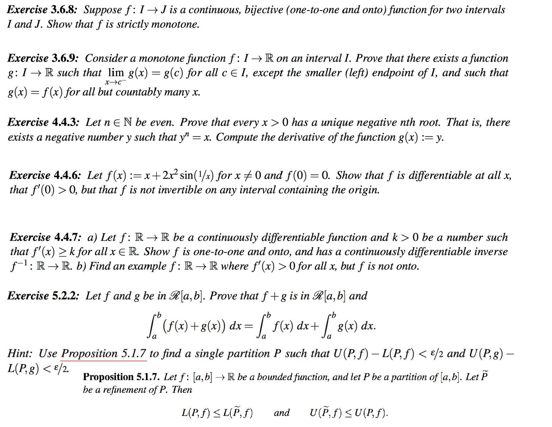
Exercise 3.6.3: Finish the proof of Corollary 3.6.3. Corollary 3.6...
Exercise 3.6.3: Finish the proof of Corollary 3.6.3. Corollary 3.6...