Subjects
Online Tutoring
Homework Help
Homework Library
Tutors
Online Classes
More
Bookstore
Blog
Technical Tips
FAQ
Contact Us
Get Help Now
Home
Homework Library
Mathematics
Advanced Math
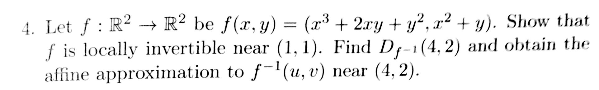
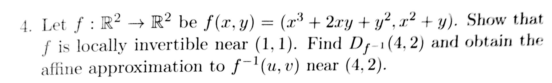
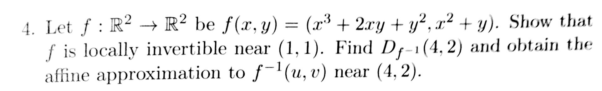
4. Let f: R2 R2 be f(x,y) = (x3 + 2xy + y2,x2 + y). Show that f is...
4. Let f: R2 R2 be f(x,y) = (x3 + 2xy + y2,x2 + y). Show that f is...