Subjects
Online Tutoring
Homework Help
Homework Library
Tutors
Online Classes
More
Bookstore
Blog
Technical Tips
FAQ
Contact Us
Get Help Now
Home
Homework Library
Mathematics
Advanced Math
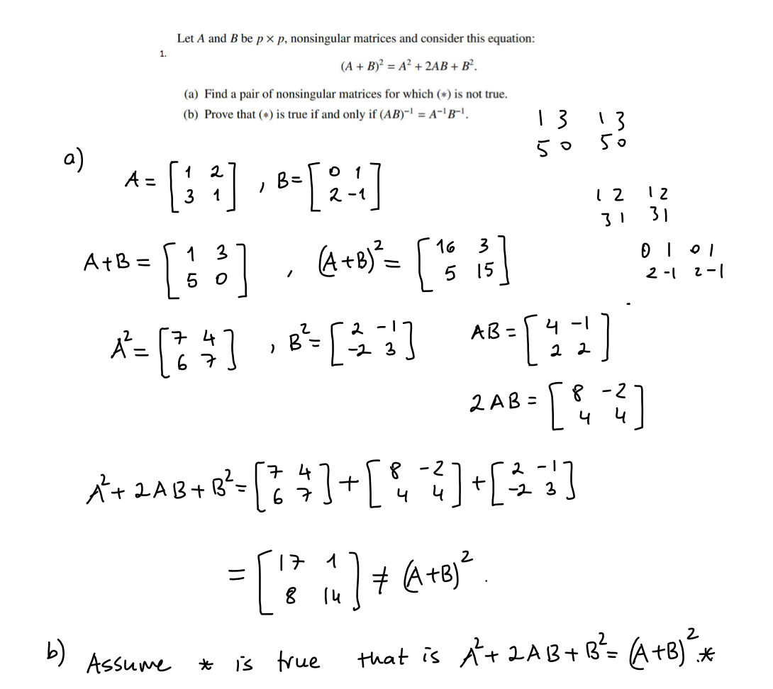
Let A and B be p x p, nonsingular matrices and consider this equati...
Let A and B be p x p, nonsingular matrices and consider this equati...