Subjects
Online Tutoring
Homework Help
Homework Library
Tutors
Online Classes
More
Bookstore
Blog
Technical Tips
FAQ
Contact Us
Get Help Now
Home
Homework Library
Mathematics
Advanced Math
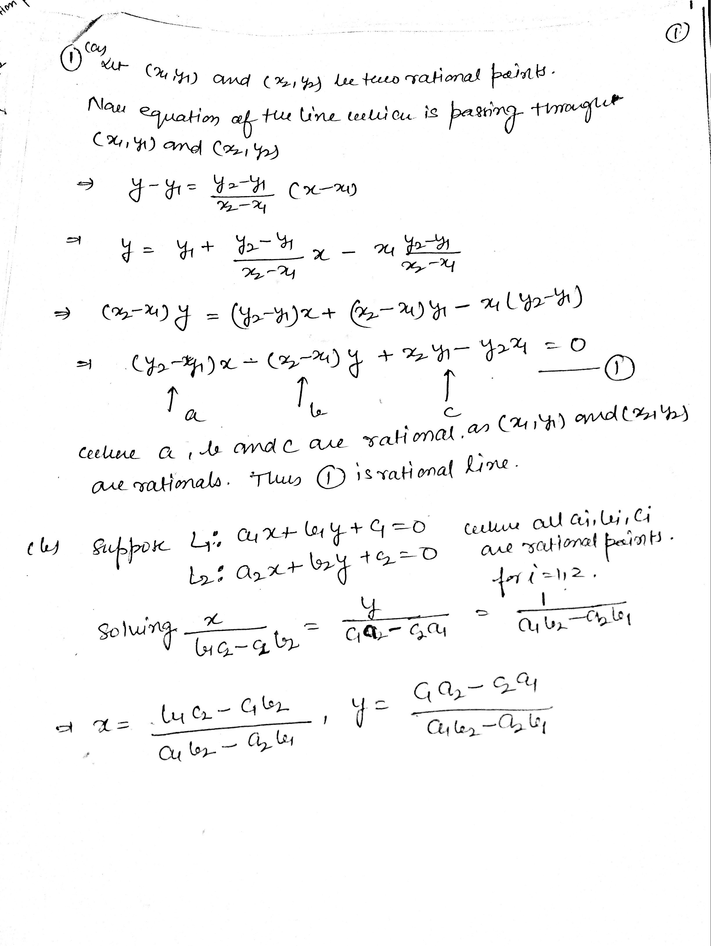
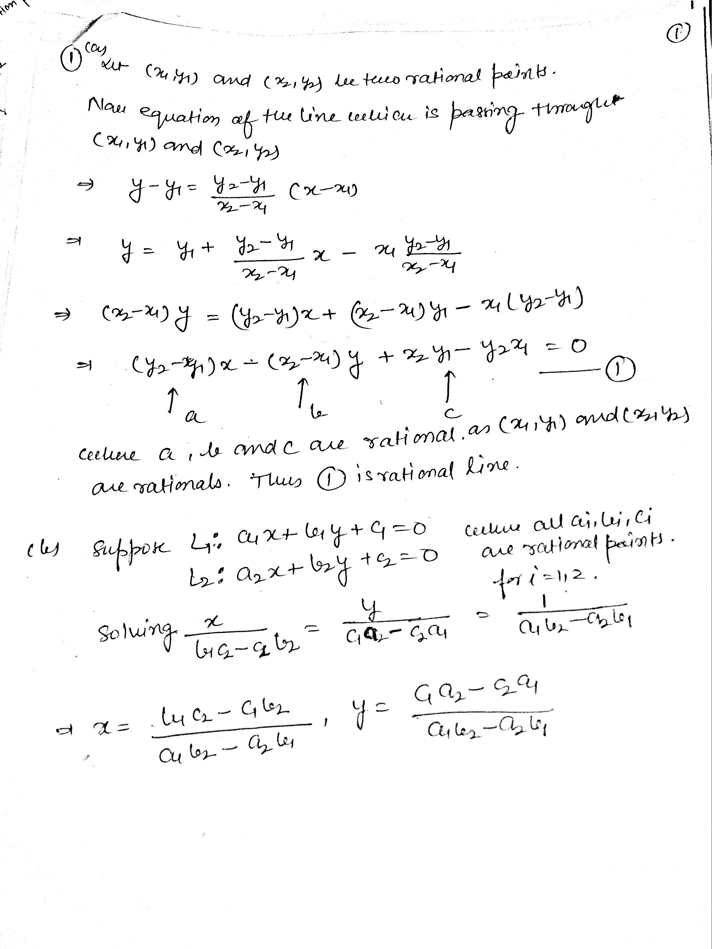
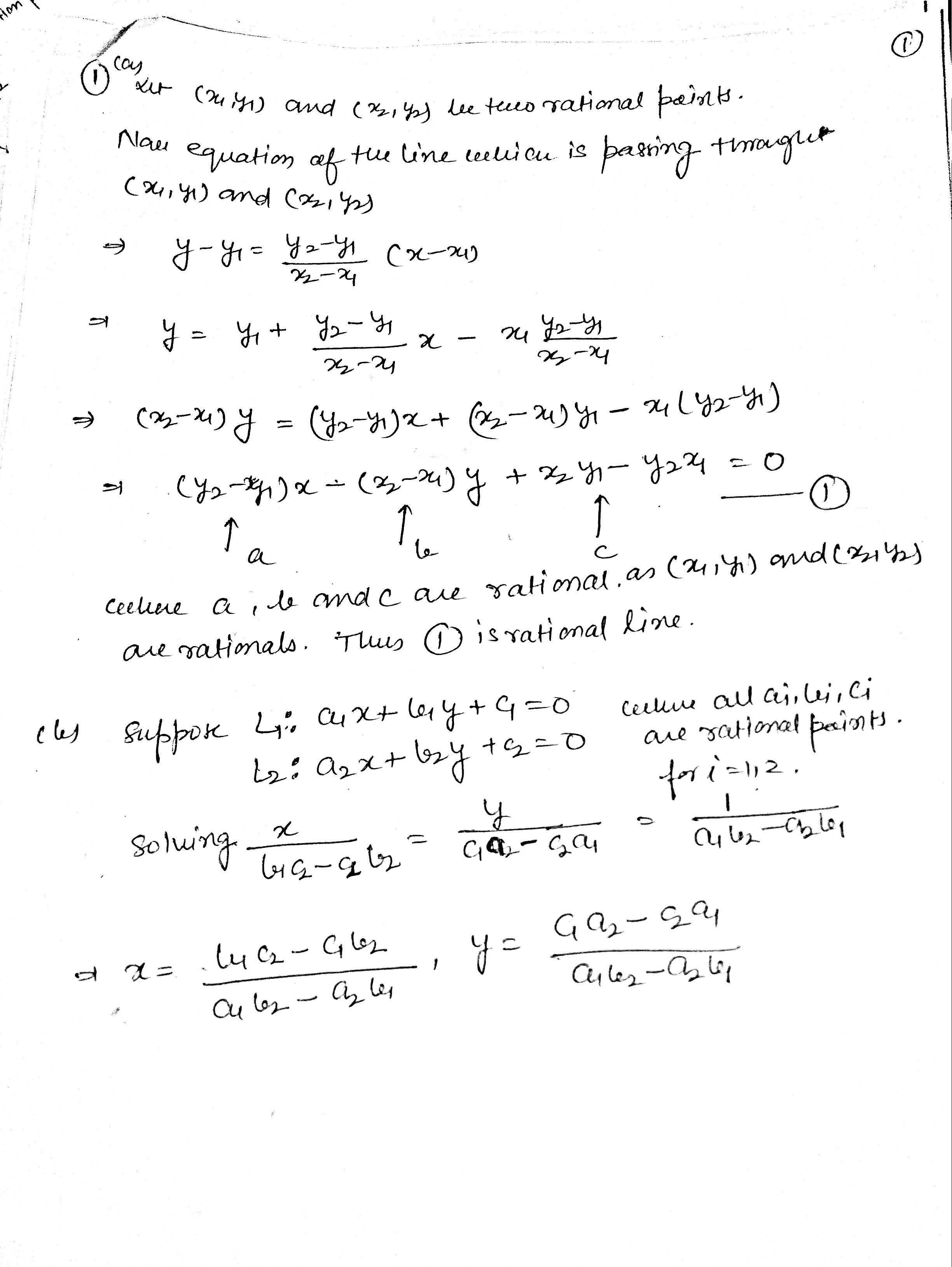
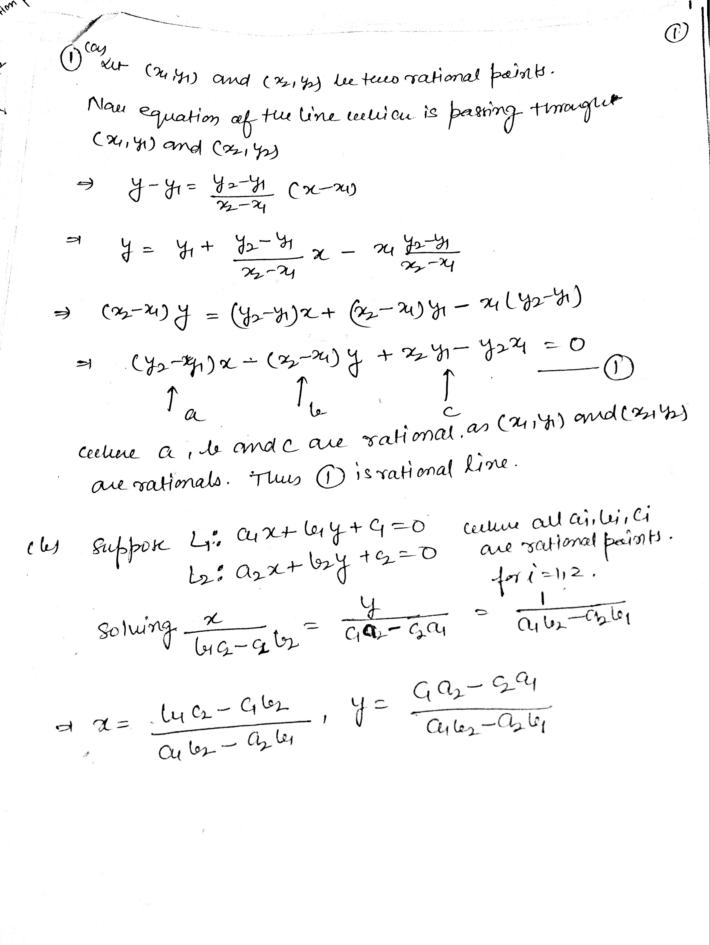
1.1. (a) If P and Q are distinct rational points in the xy-plane, p...
1.1. (a) If P and Q are distinct rational points in the xy-plane, p...