Subjects
Online Tutoring
Homework Help
Homework Library
Tutors
Online Classes
More
Bookstore
Blog
Technical Tips
FAQ
Contact Us
Get Help Now
Home
Homework Library
Mathematics
Advanced Math
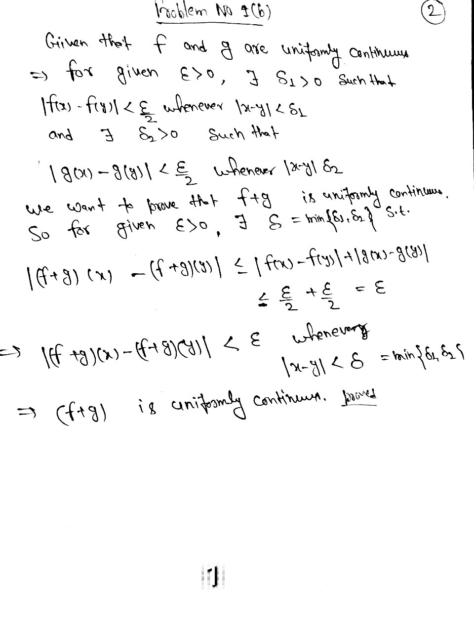
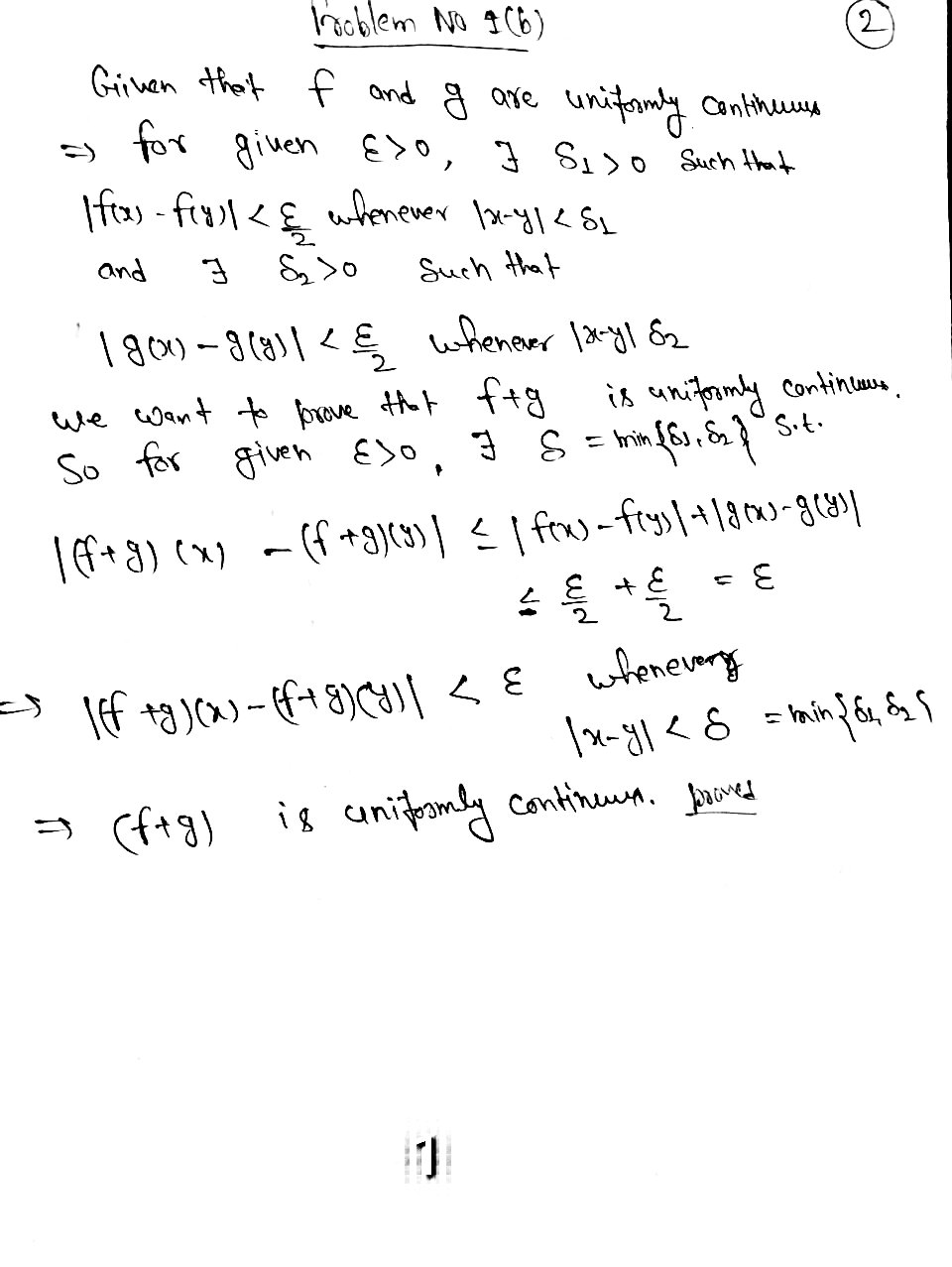
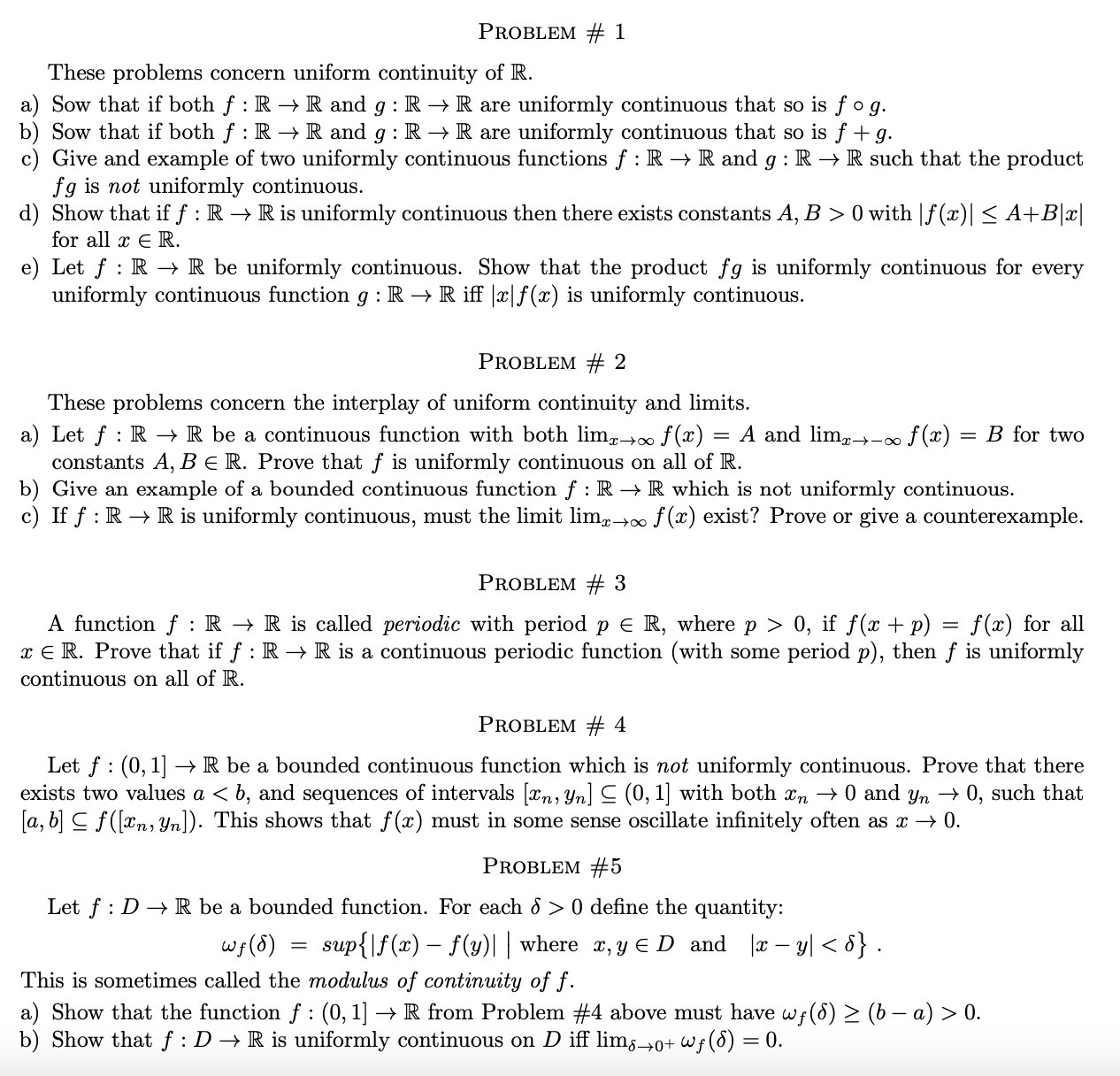
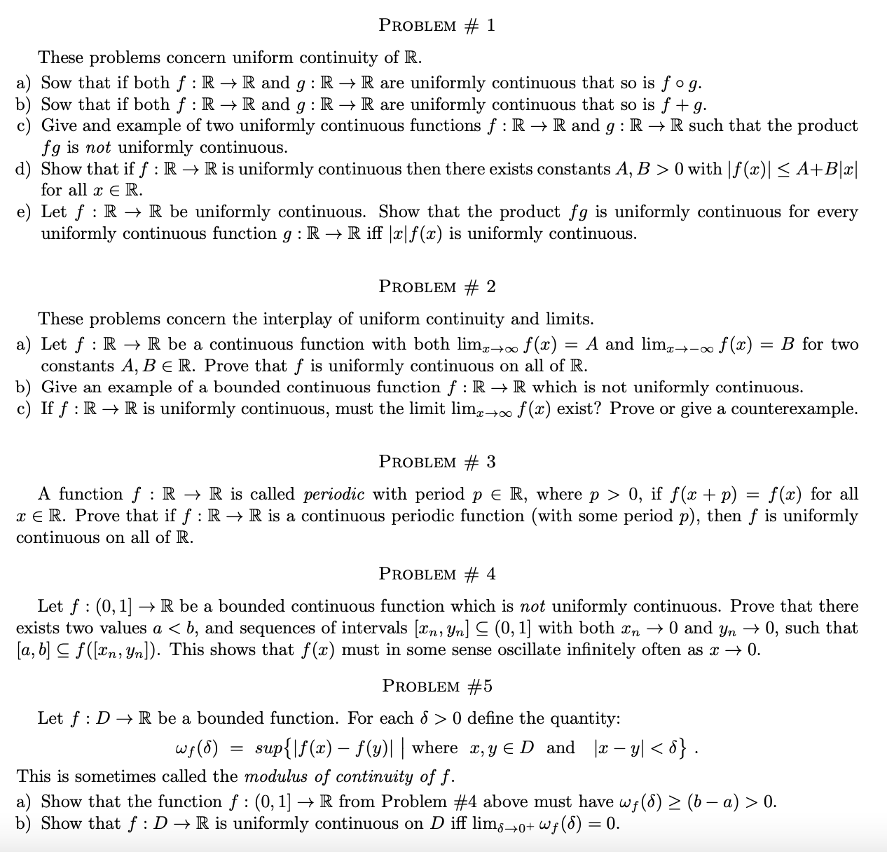
PROBLEM # 1 These problems concern uniform continuity of R. a) So...
PROBLEM # 1 These problems concern uniform continuity of R. a) So...