Subjects
Online Tutoring
Homework Help
Homework Library
Tutors
Online Classes
More
Bookstore
Blog
Technical Tips
FAQ
Contact Us
Get Help Now
Home
Homework Library
Mathematics
Advanced Math
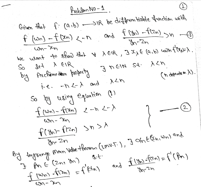
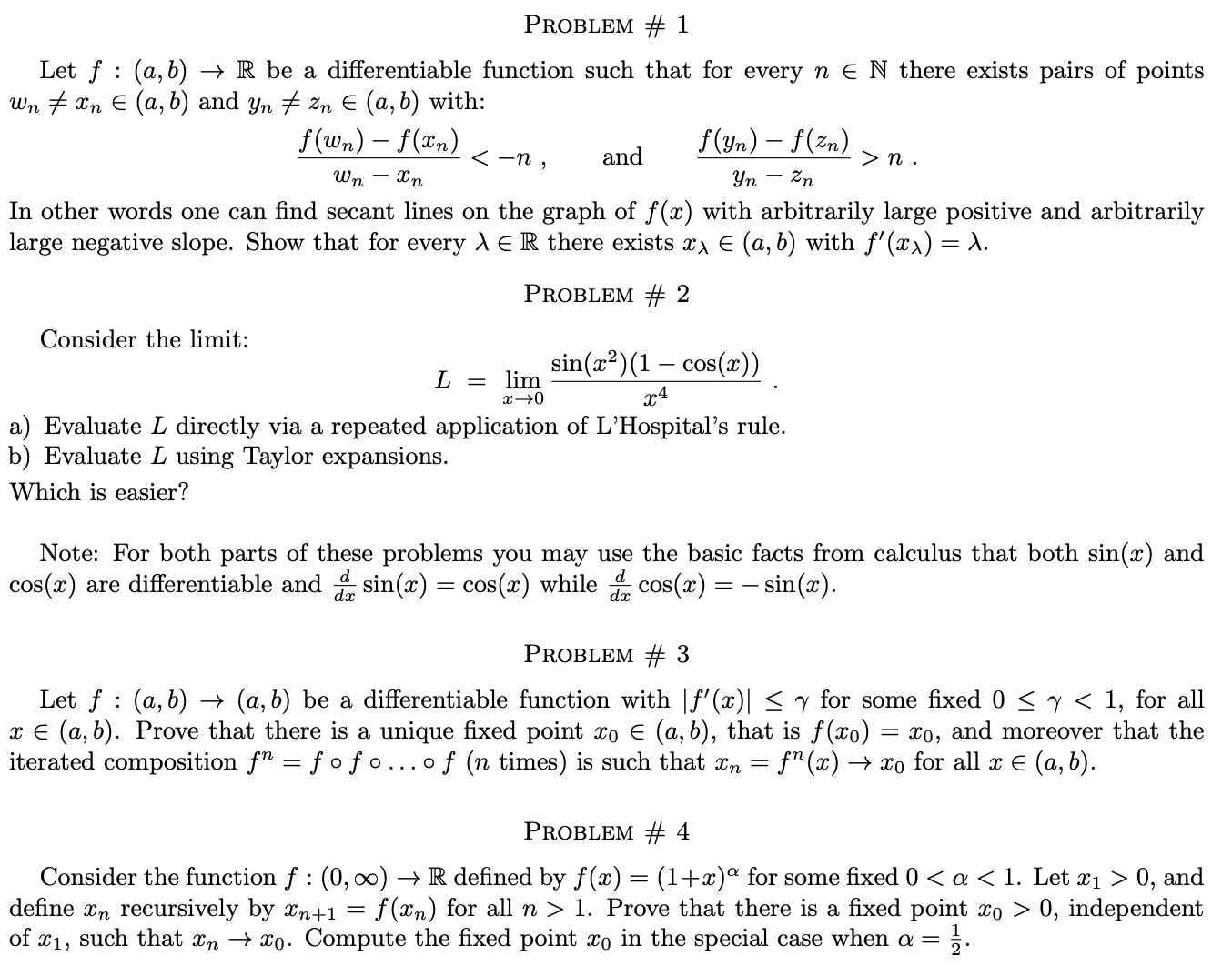
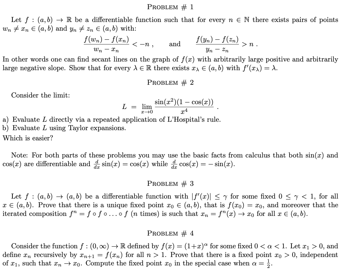
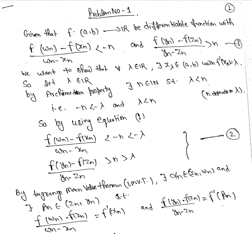
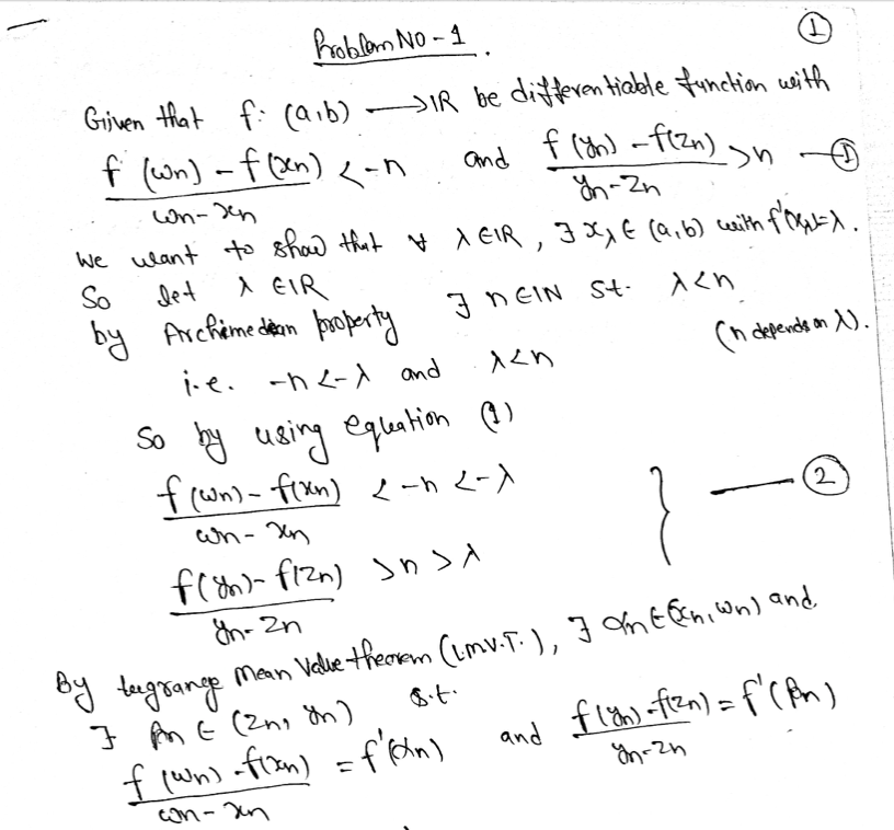
PROBLEM # 1 Let f : (a,b) R be a differentiable function such that...
PROBLEM # 1 Let f : (a,b) R be a differentiable function such that...