Subjects
Online Tutoring
Homework Help
Homework Library
Tutors
More
Bookstore
Blog
Technical Tips
FAQ
Contact Us
Get Help Now
Home
Homework Library
Mathematics
Advanced Math
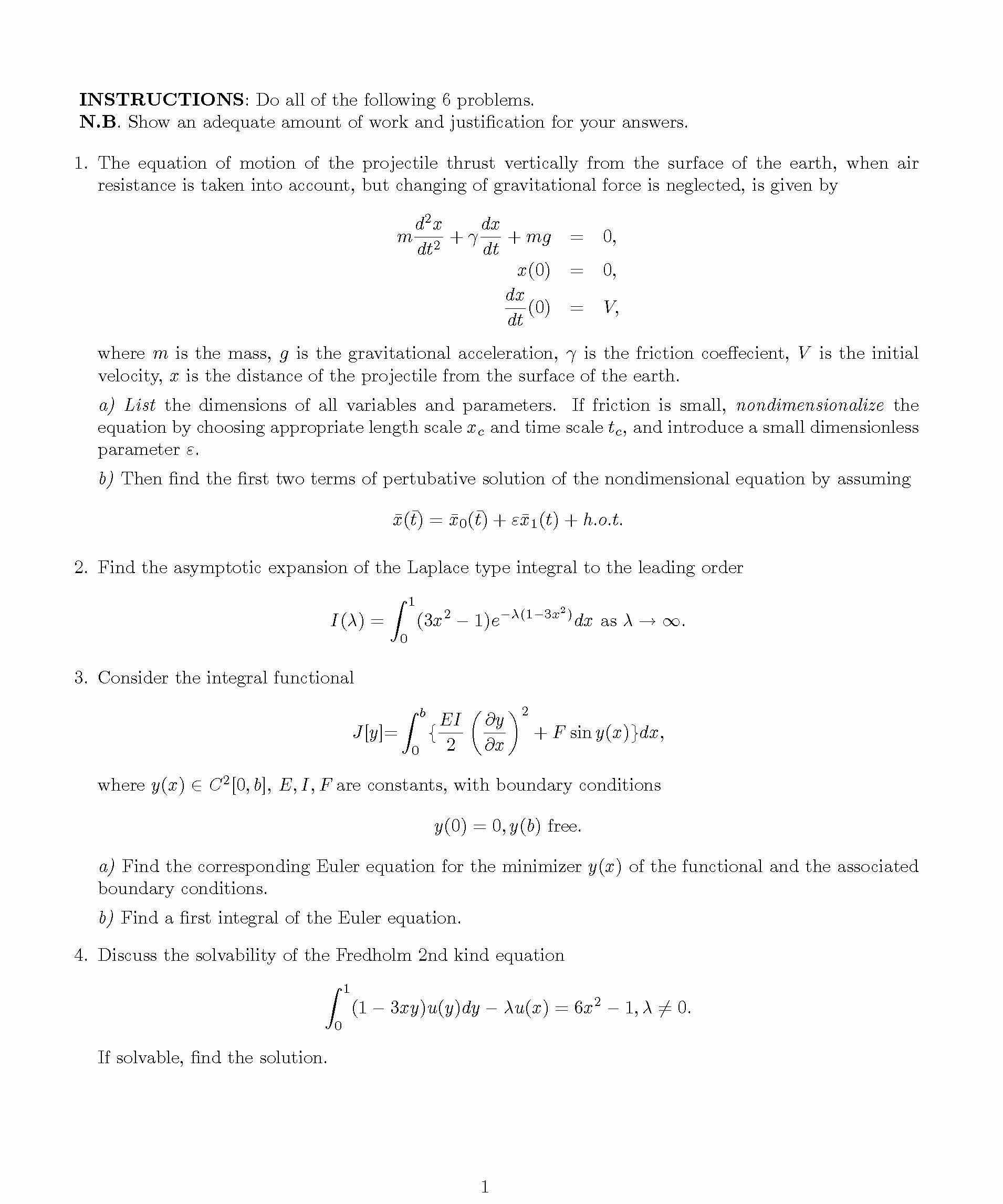
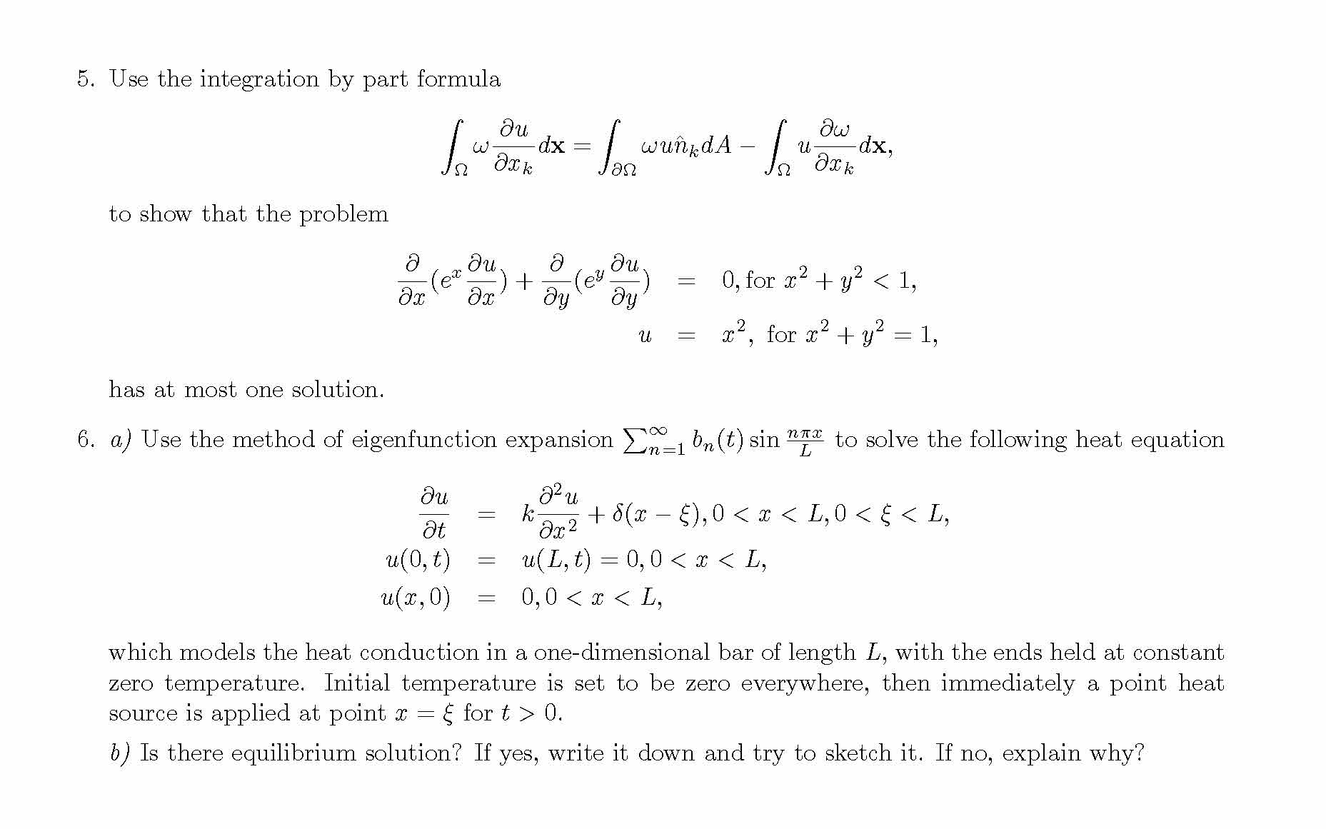
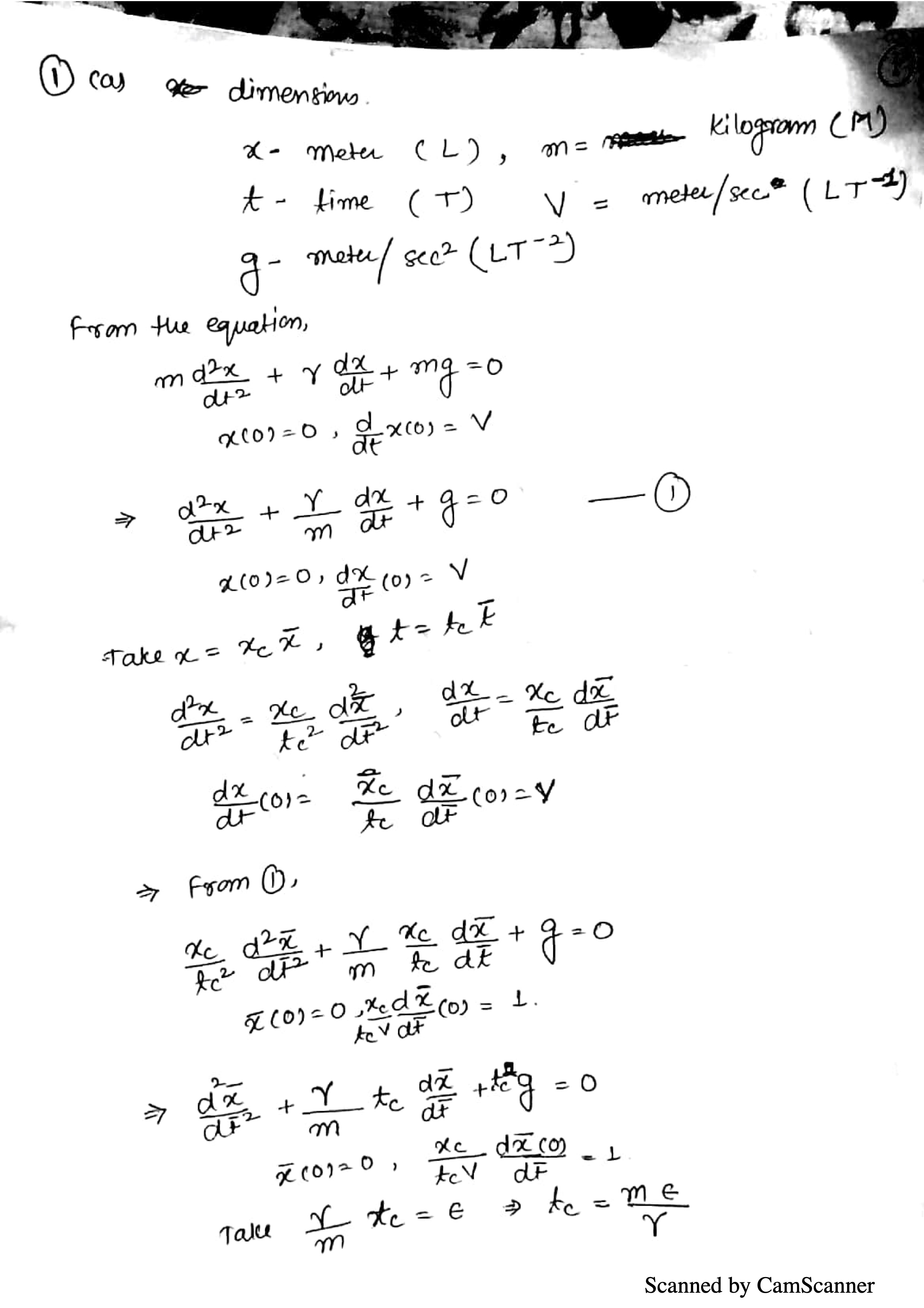
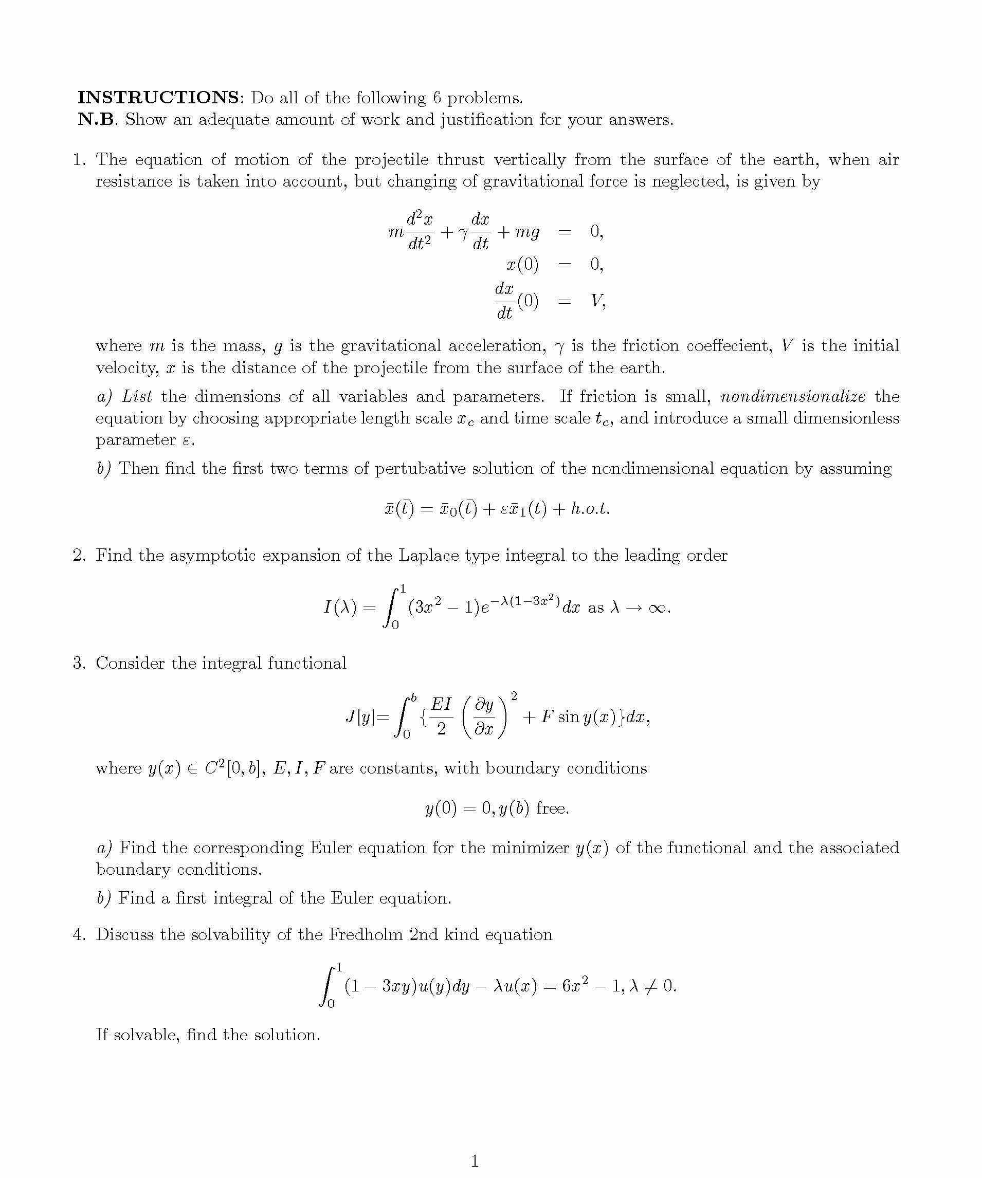
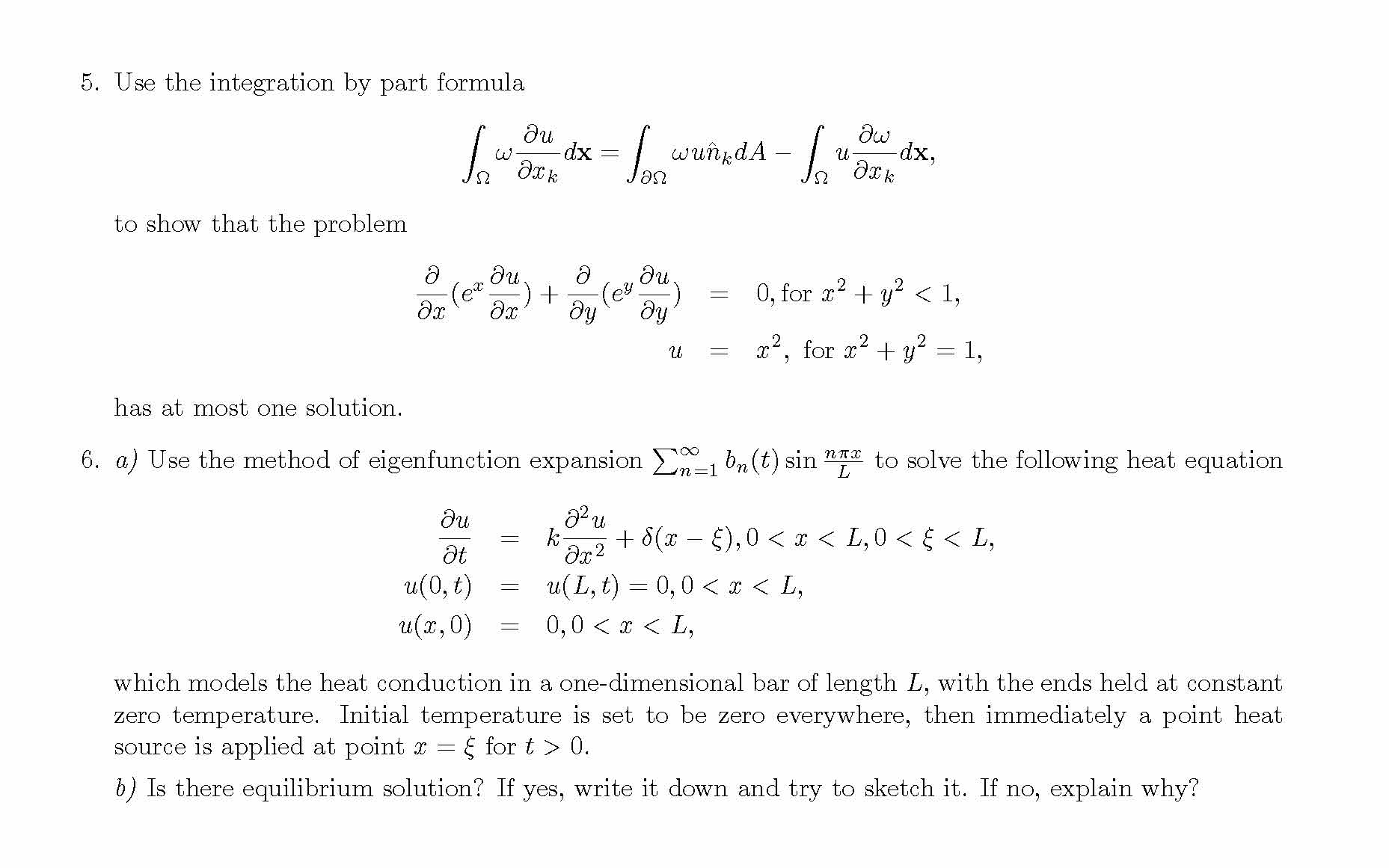
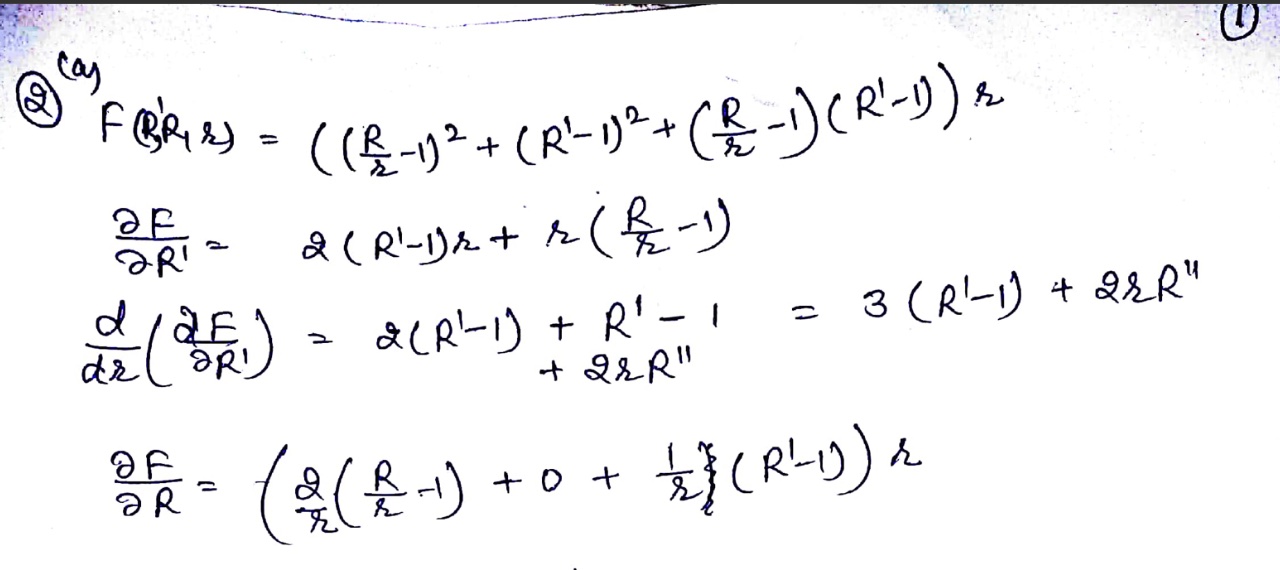
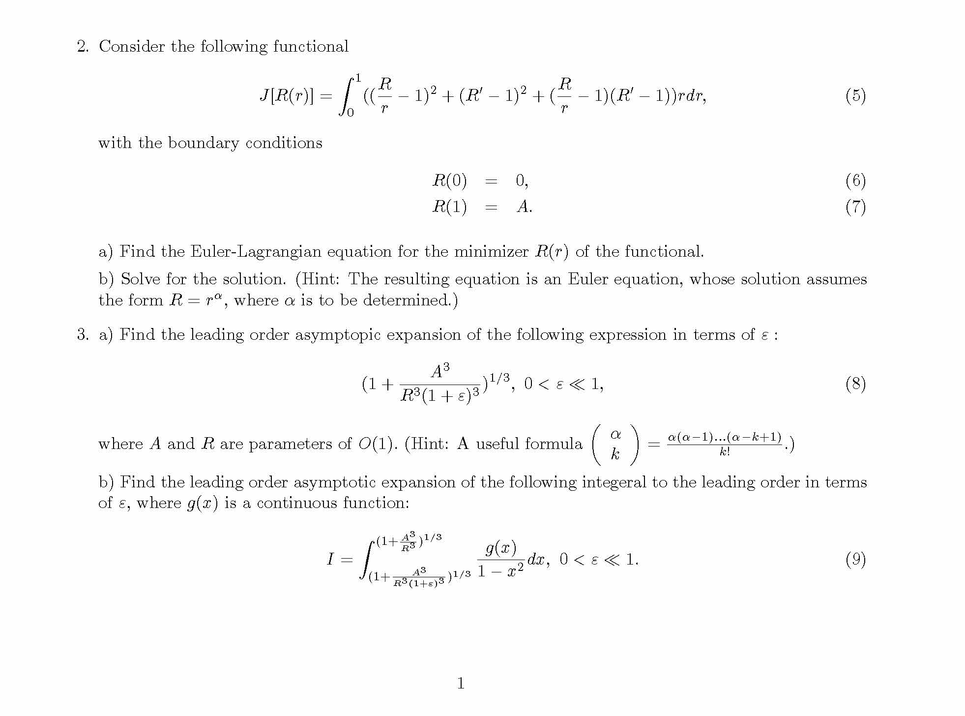
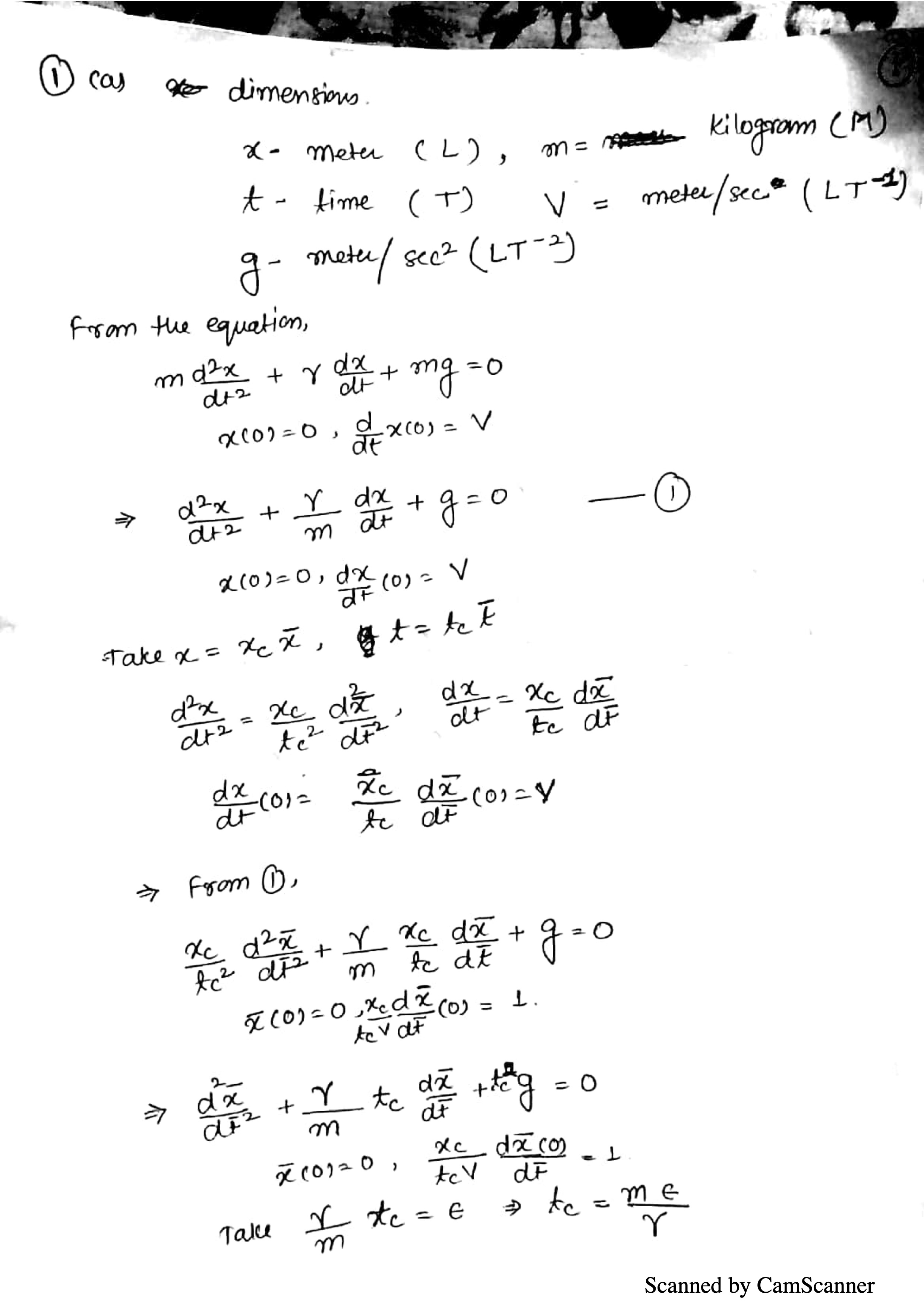
INSTRUCTIONS: Do all of the following 6 problems. N.B. Show an ade...
INSTRUCTIONS: Do all of the following 6 problems. N.B. Show an ade...