Subjects
Online Tutoring
Homework Help
Homework Library
Tutors
Online Classes
More
Bookstore
Blog
Technical Tips
FAQ
Contact Us
Get Help Now
Home
Homework Library
Mathematics
Advanced Math
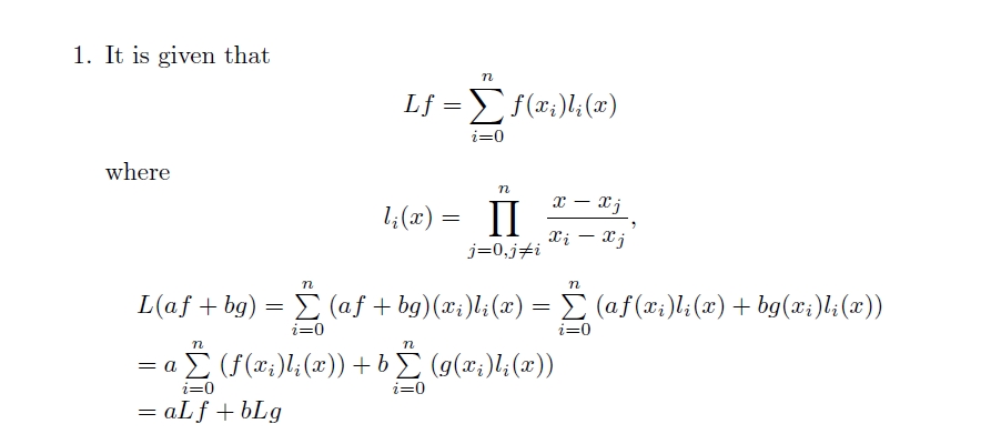
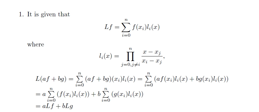
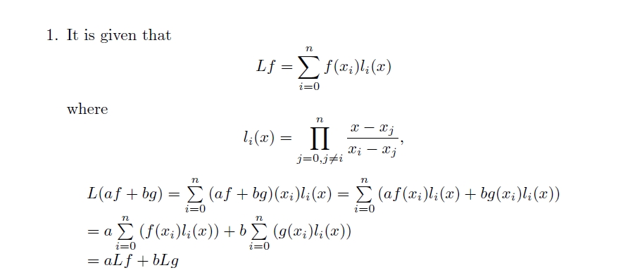
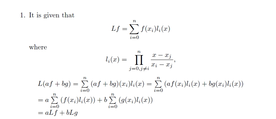
For Problems 1 through 3: For a set of nodes 20.20 ,Tra let E; repr...
For Problems 1 through 3: For a set of nodes 20.20 ,Tra let E; repr...