Subjects
Online Tutoring
Homework Help
Homework Library
Tutors
Online Classes
More
Bookstore
Blog
Technical Tips
FAQ
Contact Us
Get Help Now
Home
Homework Library
Mathematics
Advanced Math
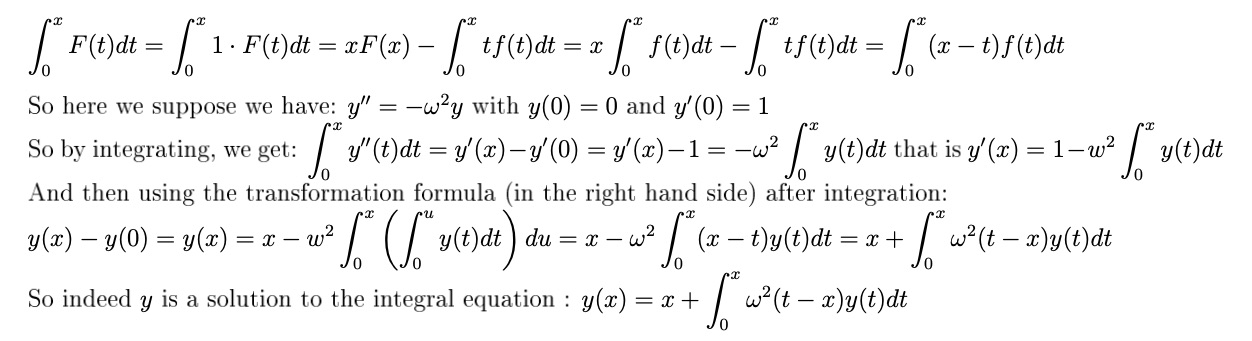
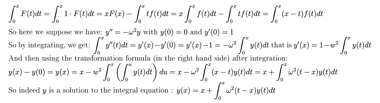
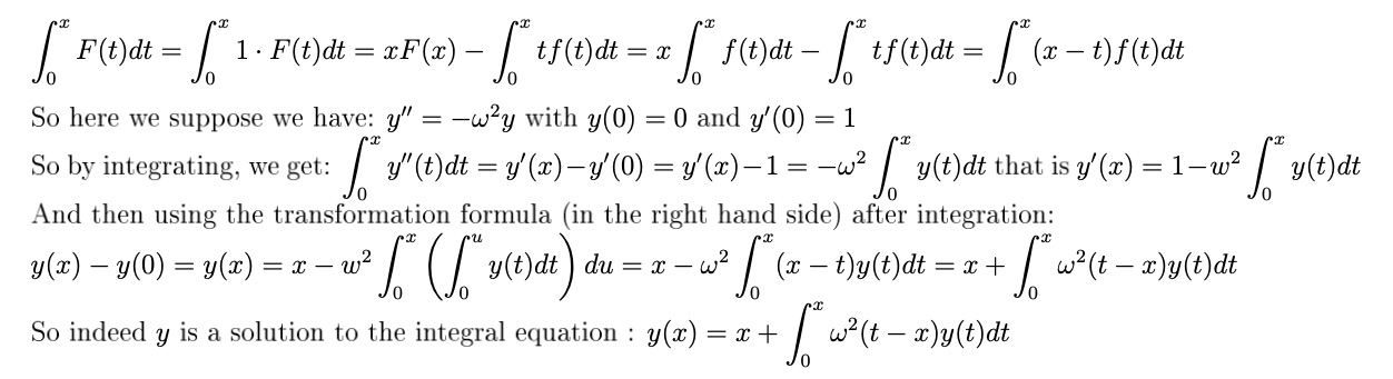
2. Show that y is a solution to the IVP y"+w2y=0, = y(0) = 0,...
2. Show that y is a solution to the IVP y"+w2y=0, = y(0) = 0,...