Subjects
Online Tutoring
Homework Help
Homework Library
Tutors
Online Classes
More
Bookstore
Blog
Technical Tips
FAQ
Contact Us
Get Help Now
Home
Homework Library
Mathematics
Advanced Math
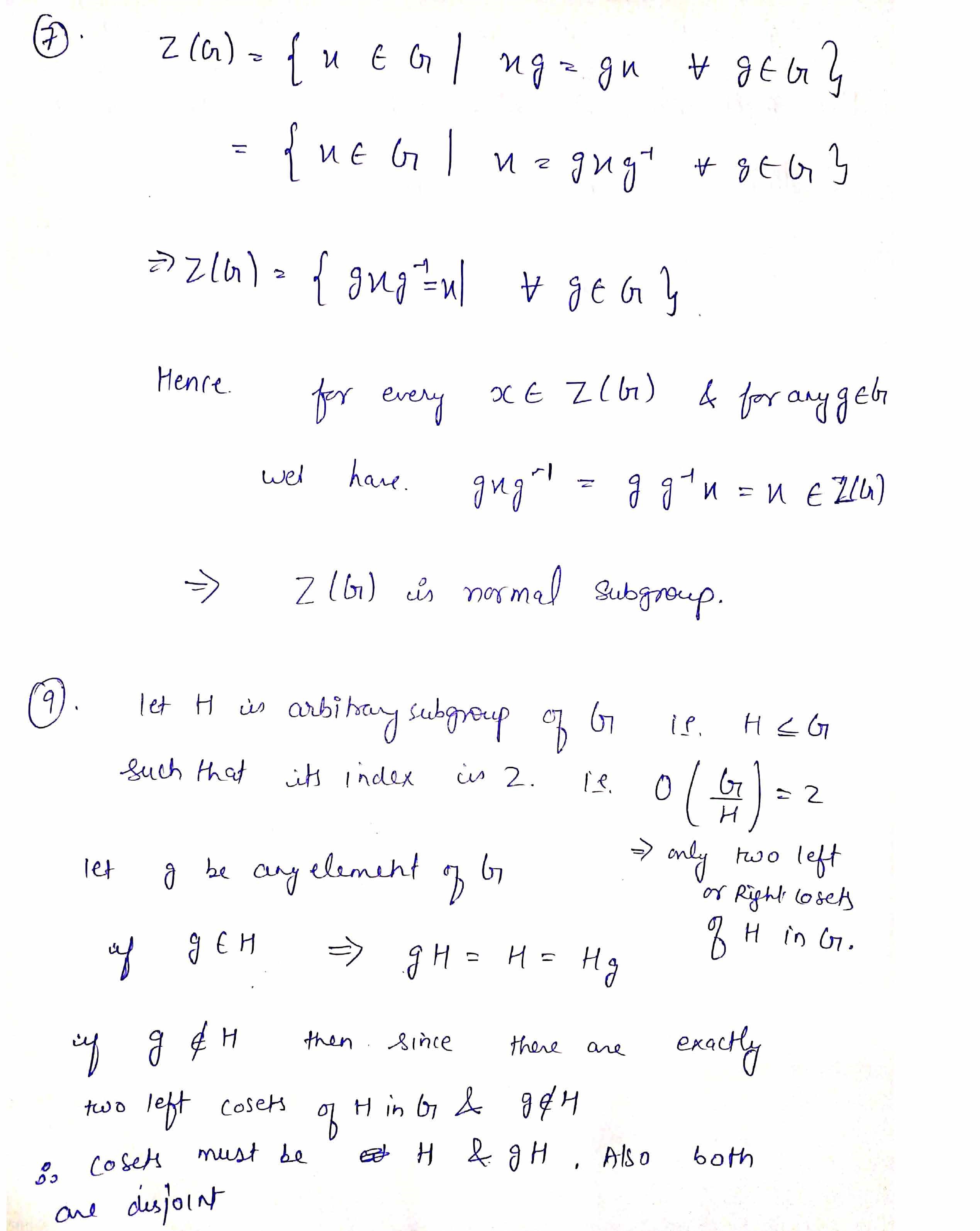
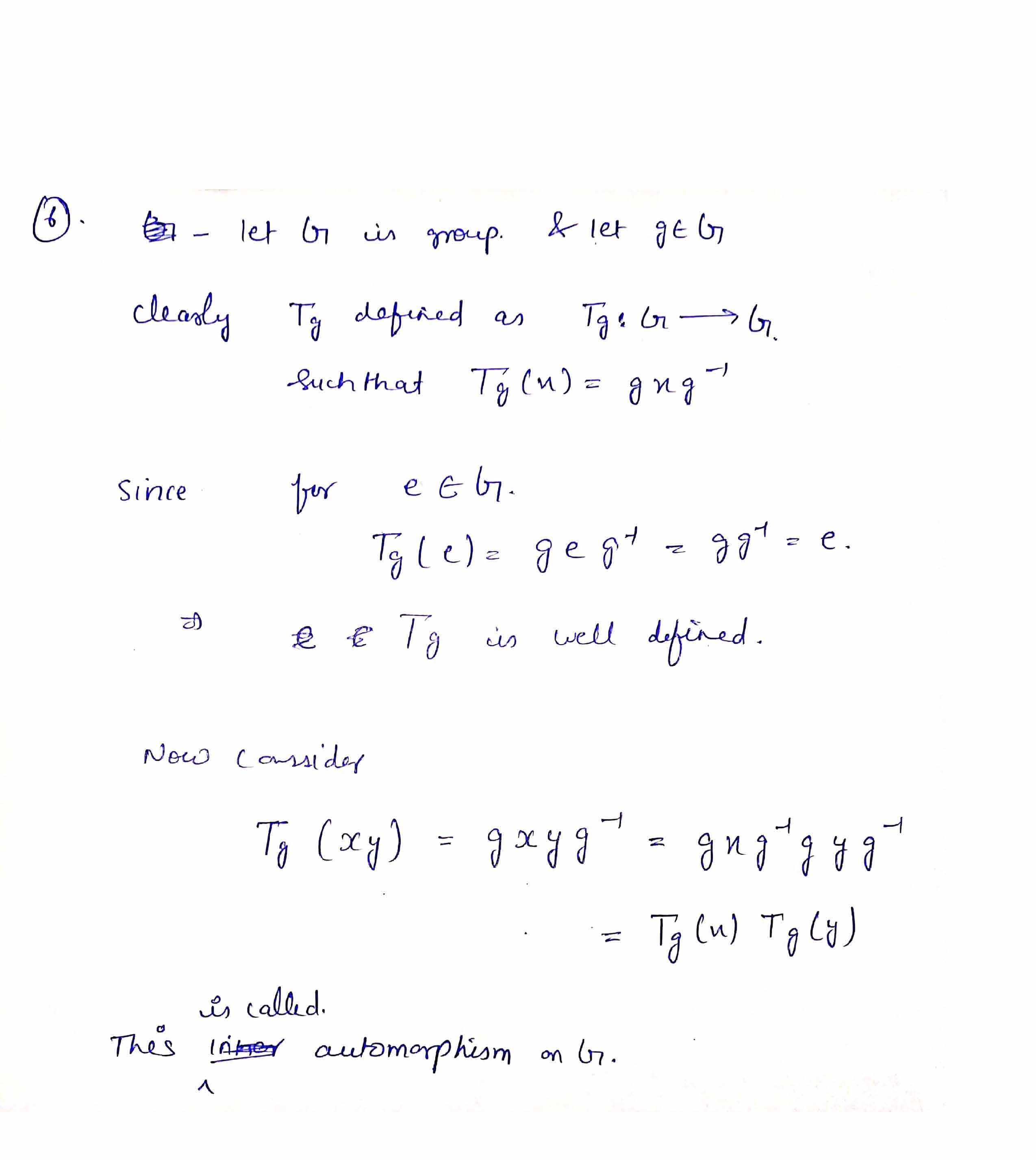
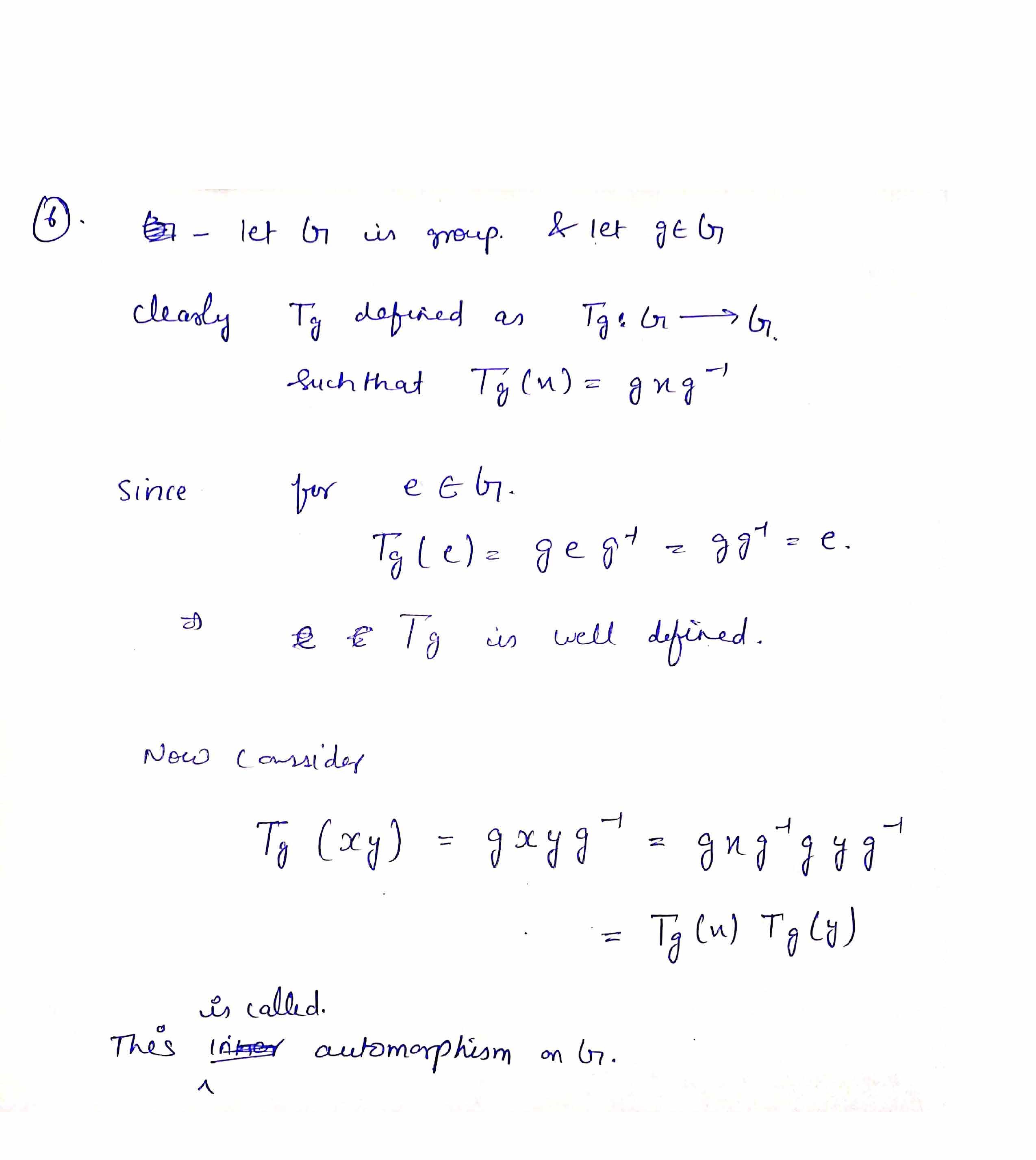
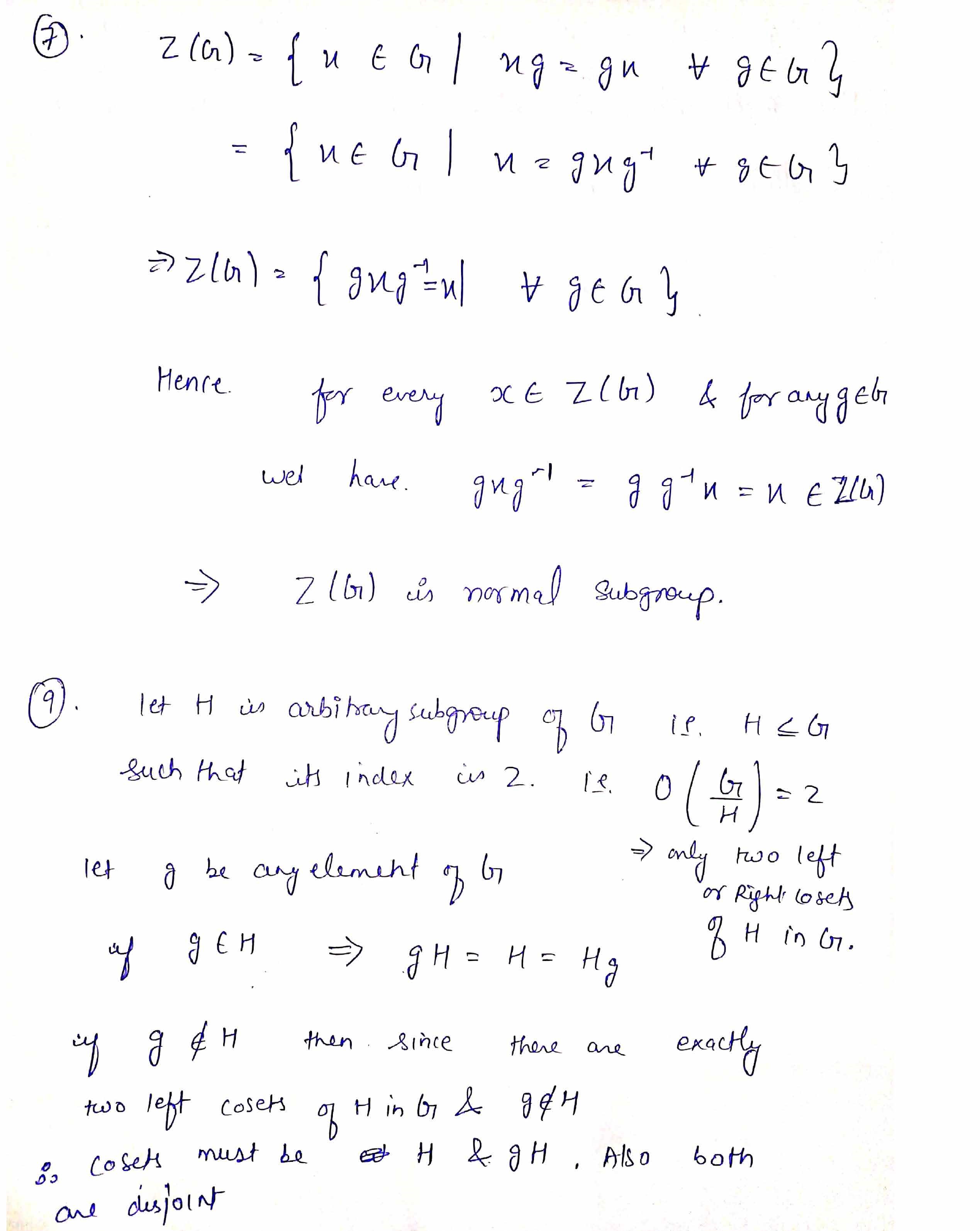
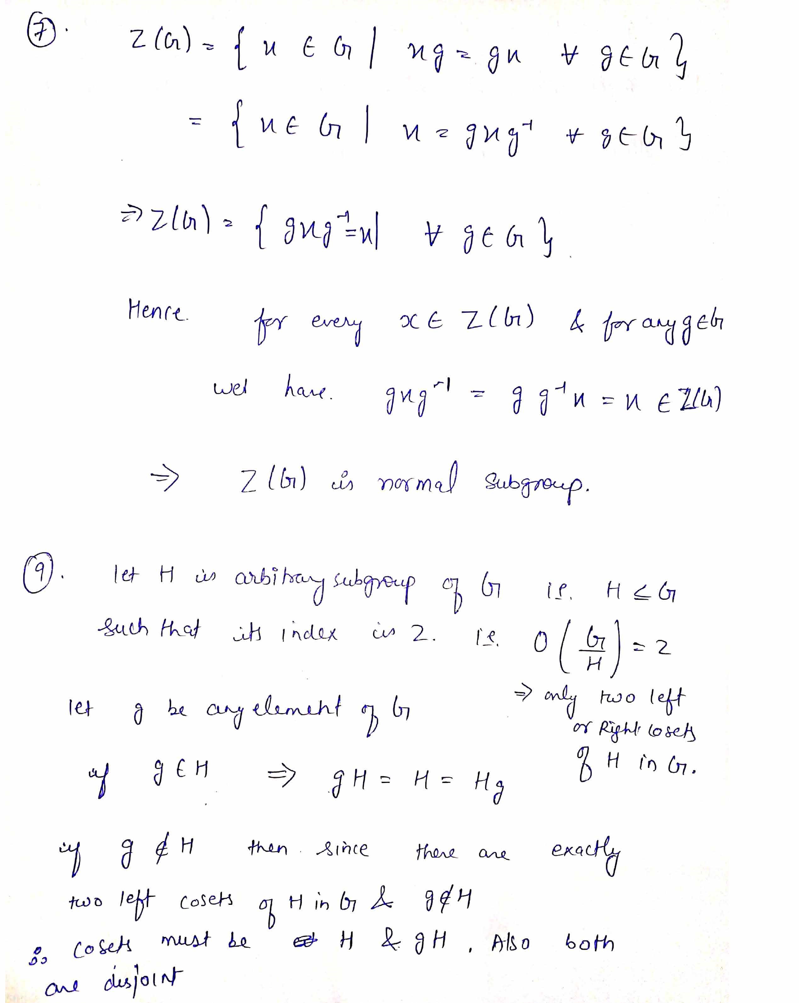
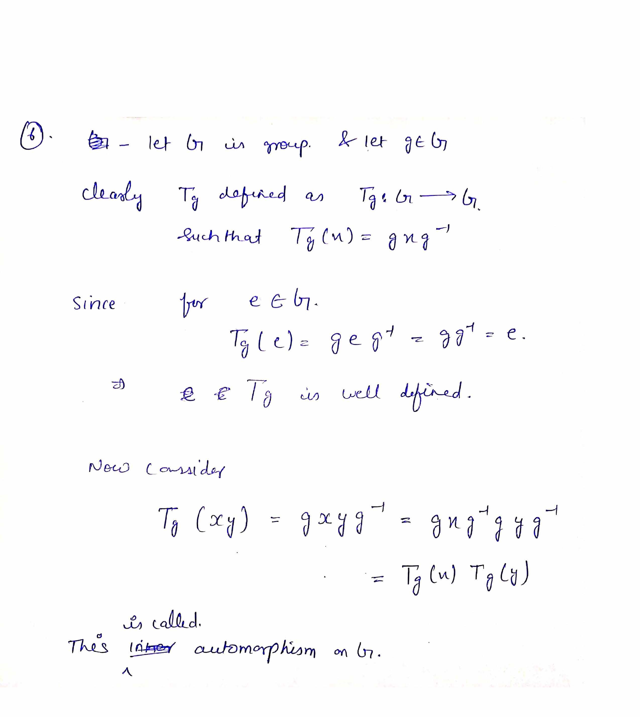
c. 5. If H is a subgroup of G then what is the set G/H? Under what...
c. 5. If H is a subgroup of G then what is the set G/H? Under what...