Subjects
Online Tutoring
Homework Help
Homework Library
Tutors
Online Classes
More
Bookstore
Blog
Technical Tips
FAQ
Contact Us
Get Help Now
Home
Homework Library
Mathematics
Advanced Math
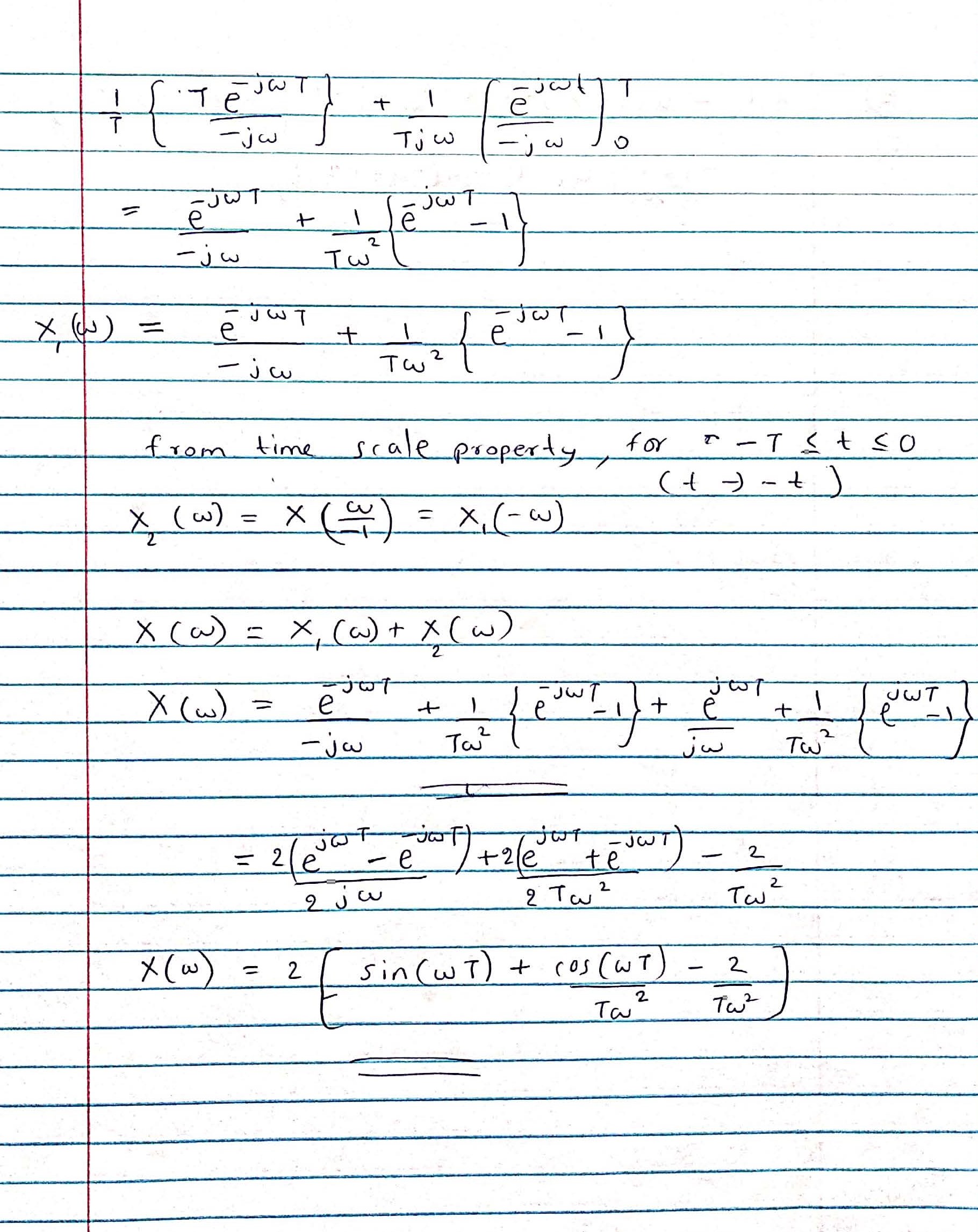
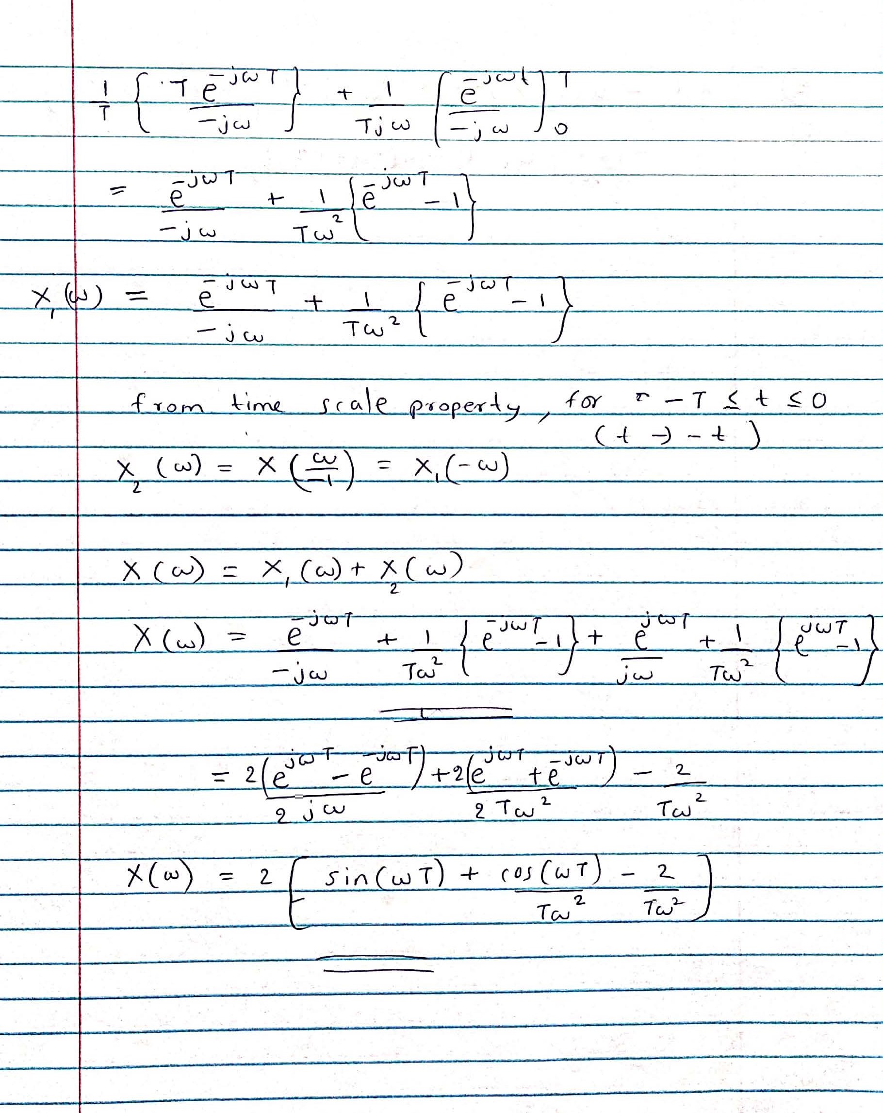
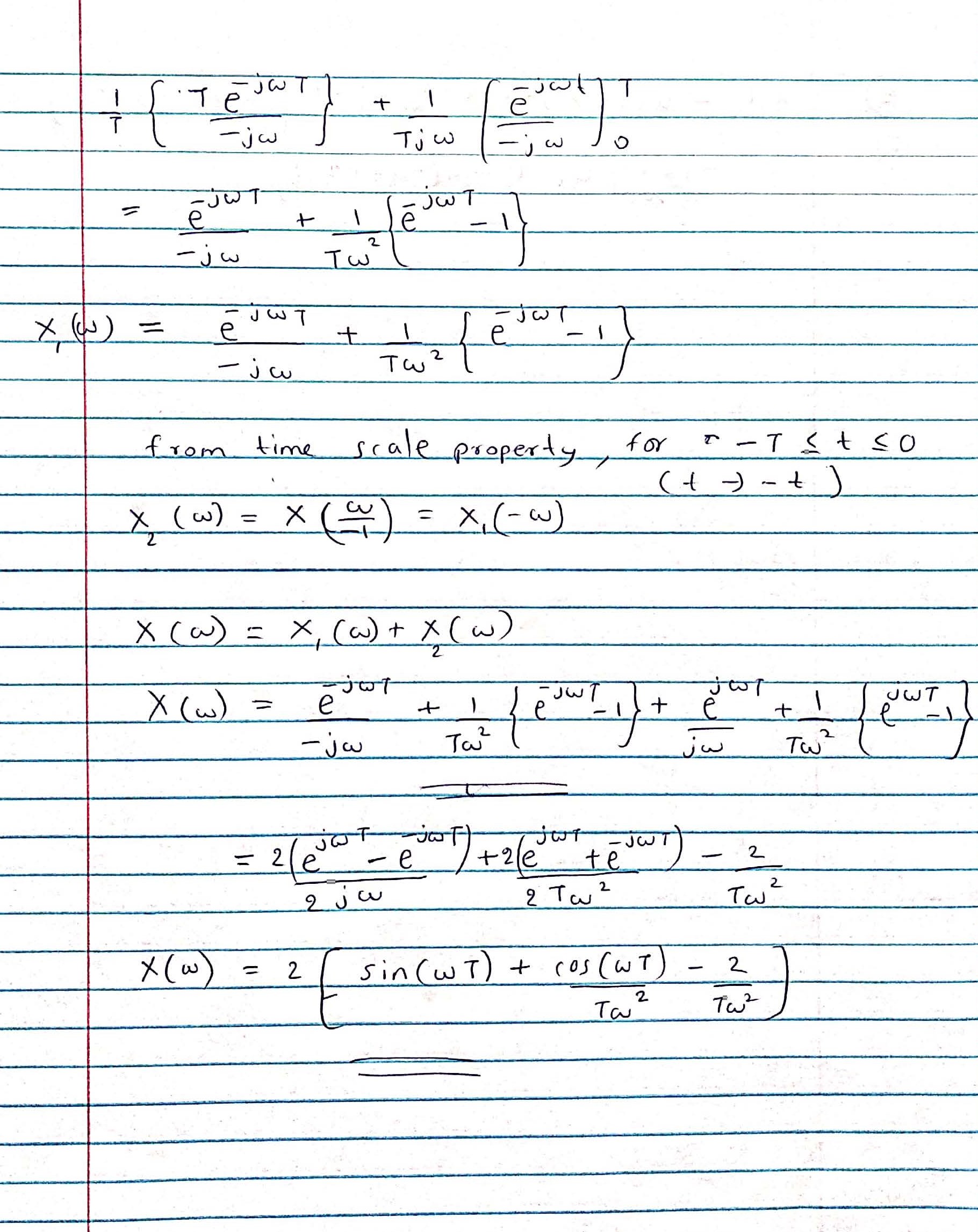
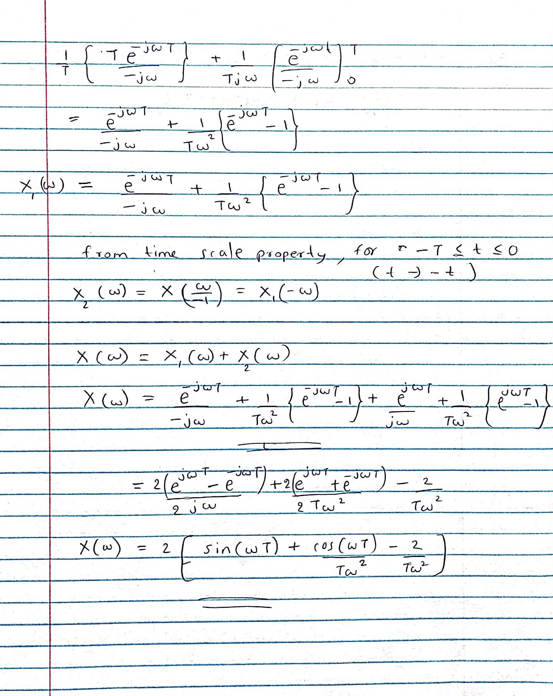
Exercise Package 7 Fourier transform 1. Find the Fourier transfor...
Exercise Package 7 Fourier transform 1. Find the Fourier transfor...