Subjects
Online Tutoring
Homework Help
Homework Library
Tutors
Online Classes
More
Bookstore
Blog
Technical Tips
FAQ
Contact Us
Get Help Now
Home
Homework Library
Mathematics
Advanced Math
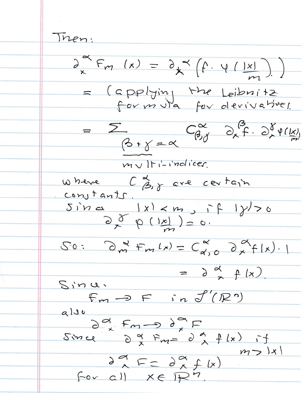
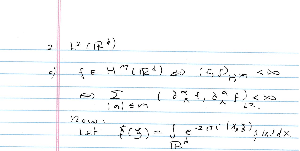
1. Suppose that F is a tempered distribution on Rn. Suppose that f ...
1. Suppose that F is a tempered distribution on Rn. Suppose that f...