Subjects
Online Tutoring
Homework Help
Homework Library
Tutors
Online Classes
More
Bookstore
Blog
Technical Tips
FAQ
Contact Us
Get Help Now
Home
Homework Library
Mathematics
Advanced Math
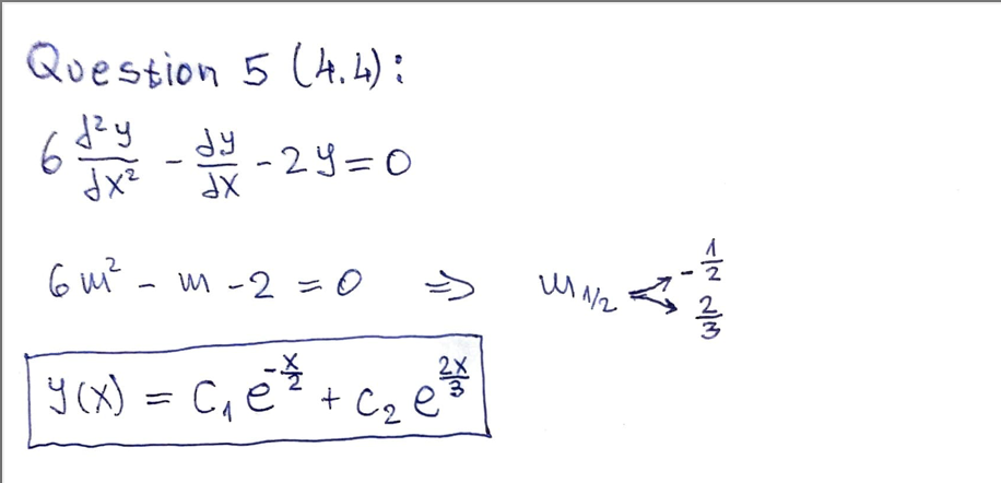
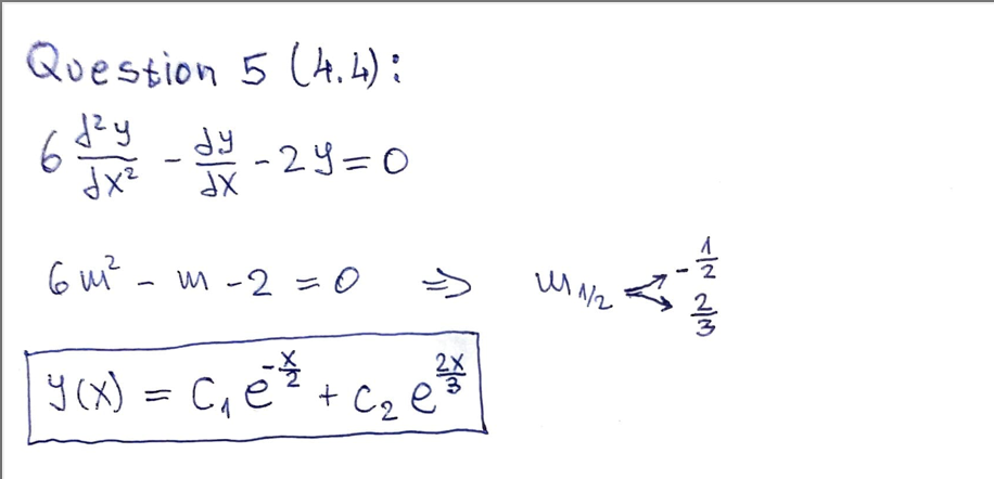
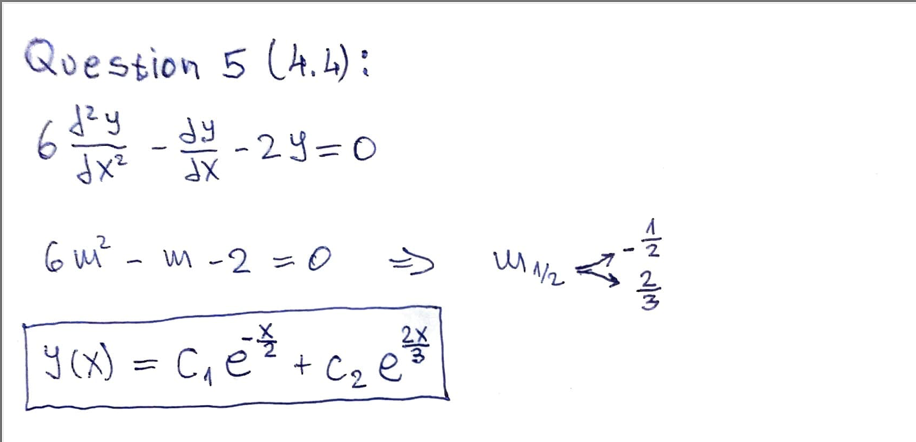
Question 5 (4.4) Solve the second order linear homogeneous differe...
Question 5 (4.4) Solve the second order linear homogeneous differe...