Subjects
Online Tutoring
Homework Help
Homework Library
Tutors
Online Classes
More
Bookstore
Blog
Technical Tips
FAQ
Contact Us
Get Help Now
Home
Homework Library
Mathematics
Advanced Math
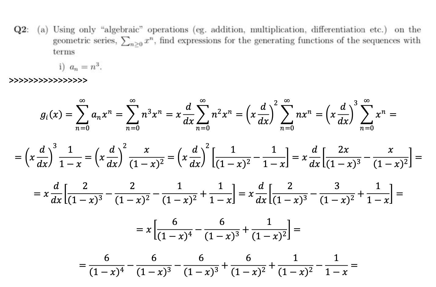
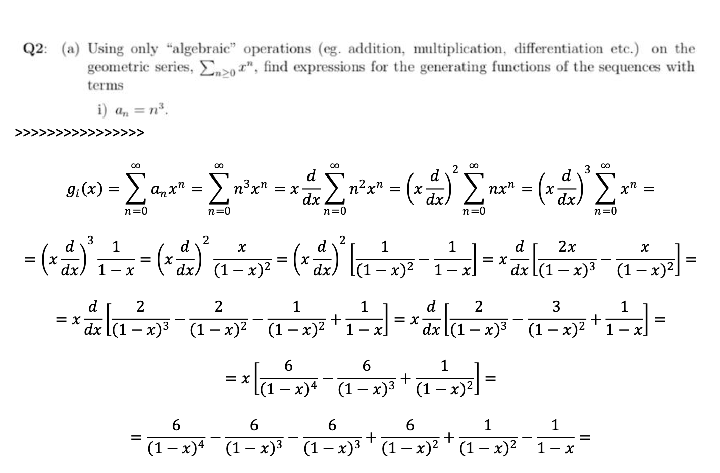
Q2: (a) Using only "algebraic" operations (eg. addition, ...
Q2: (a) Using only "algebraic" operations (eg. addition,...