Subjects
Online Tutoring
Homework Help
Homework Library
Tutors
Online Classes
More
Bookstore
Blog
Technical Tips
FAQ
Contact Us
Get Help Now
Home
Homework Library
Mathematics
Advanced Math
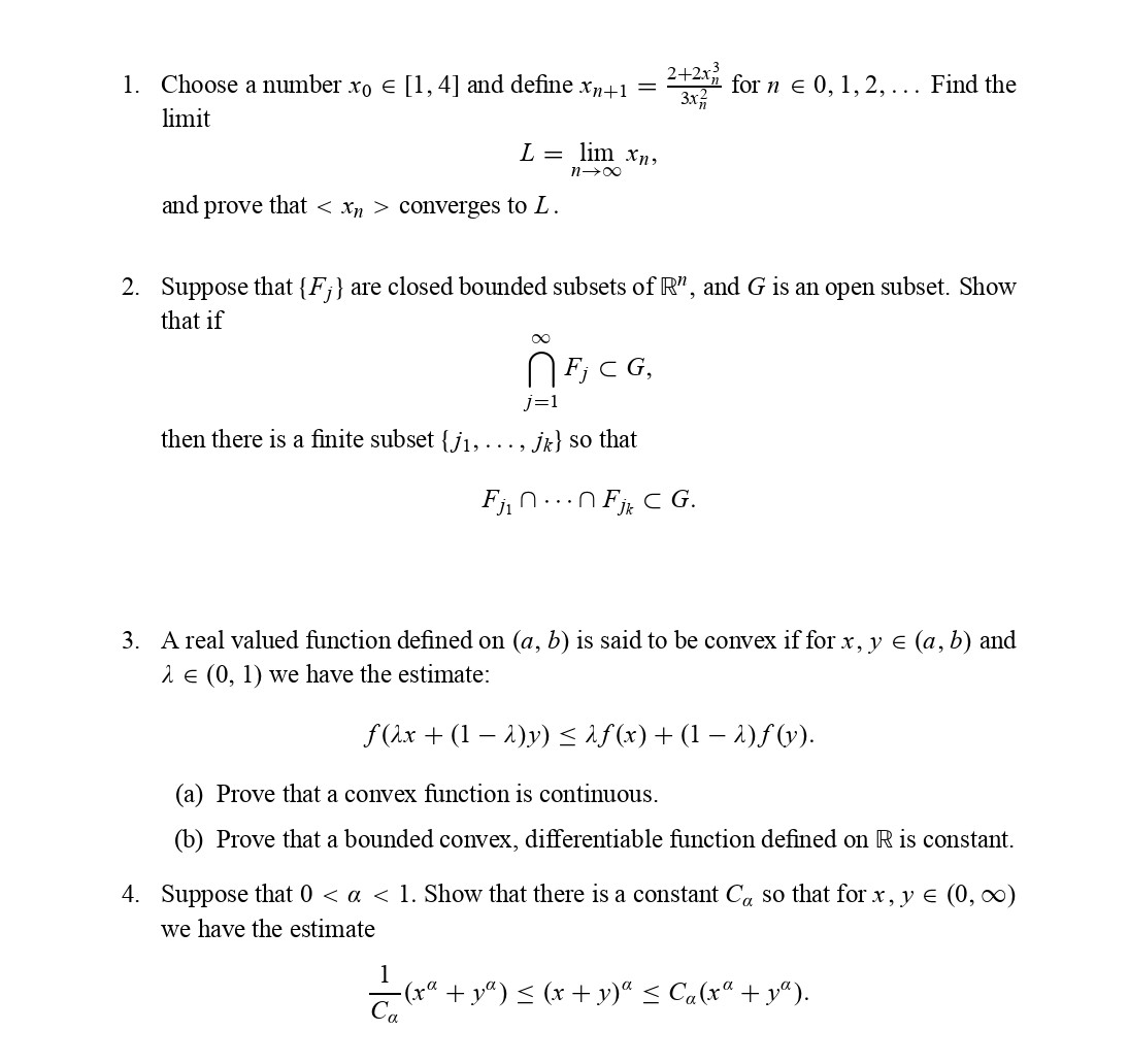
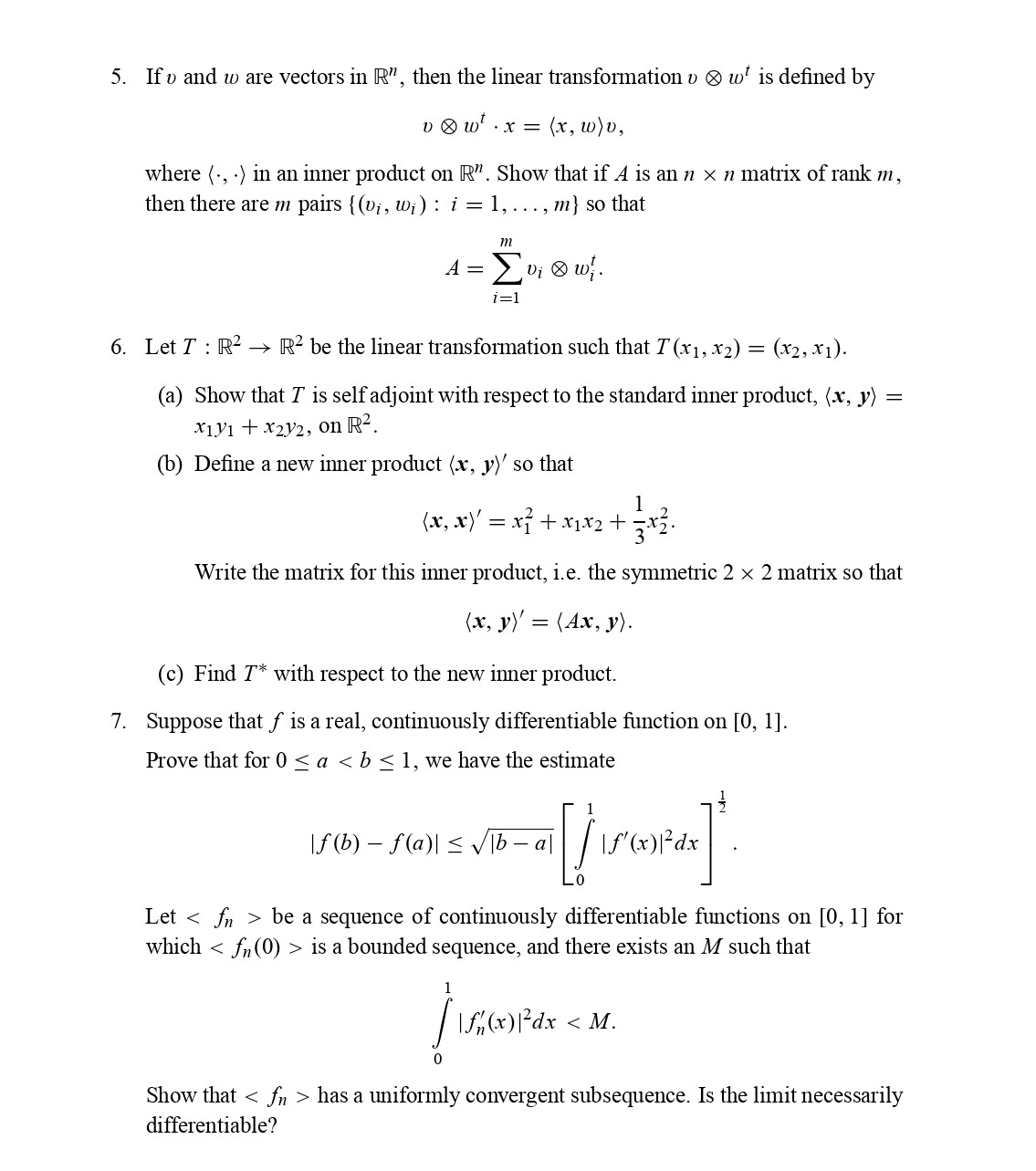
1. a E Choose number x0 [1,4] and define Xn+1 = 242277 1, 2. Fin...
1. a E Choose number x0 [1,4] and define Xn+1 = 242277 1, 2. Fin...