Subjects
Online Tutoring
Homework Help
Homework Library
Tutors
More
Bookstore
Blog
Technical Tips
FAQ
Contact Us
Get Help Now
Home
Homework Library
Mathematics
Algebra
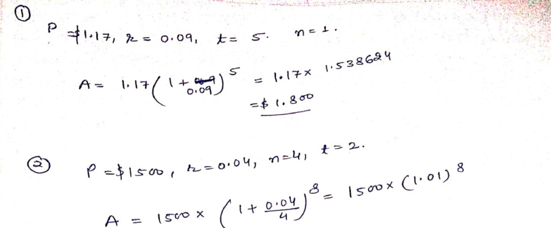
Directions: Use the formula A = P(1+-)" where A represents the...
Directions: Use the formula A = P(1+-)" where A represents the...