Subjects
Online Tutoring
Homework Help
Homework Library
Tutors
Online Classes
More
Bookstore
Blog
Technical Tips
FAQ
Contact Us
Get Help Now
Home
Homework Library
Mathematics
Algebra
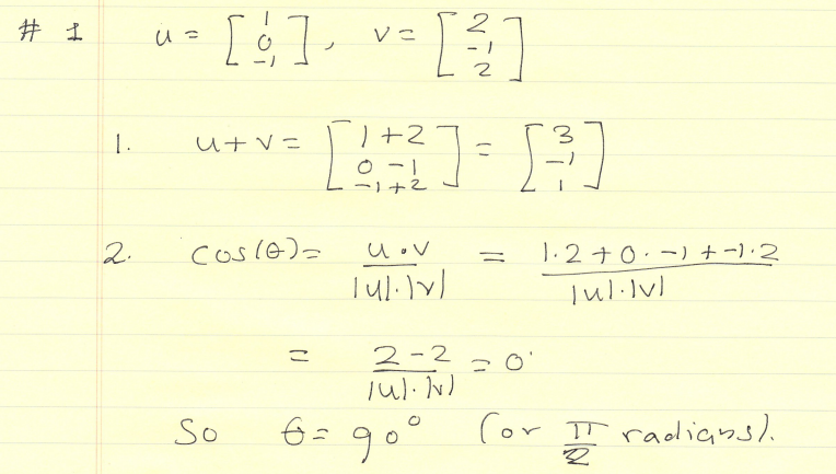
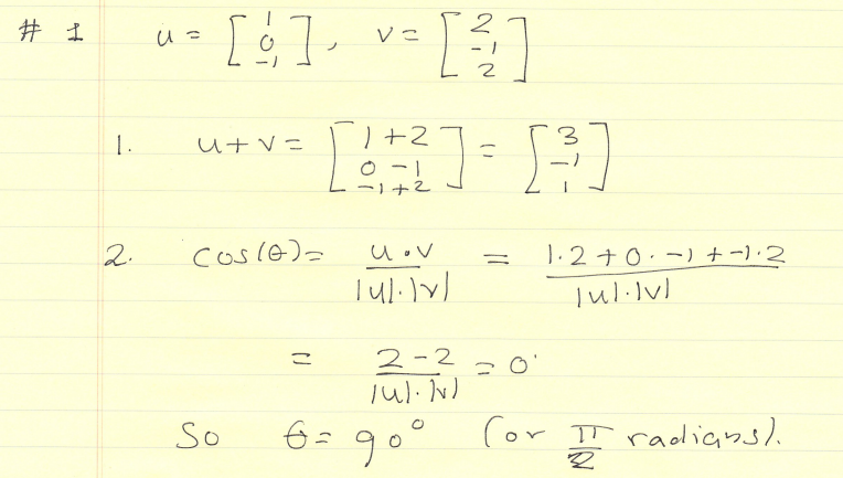
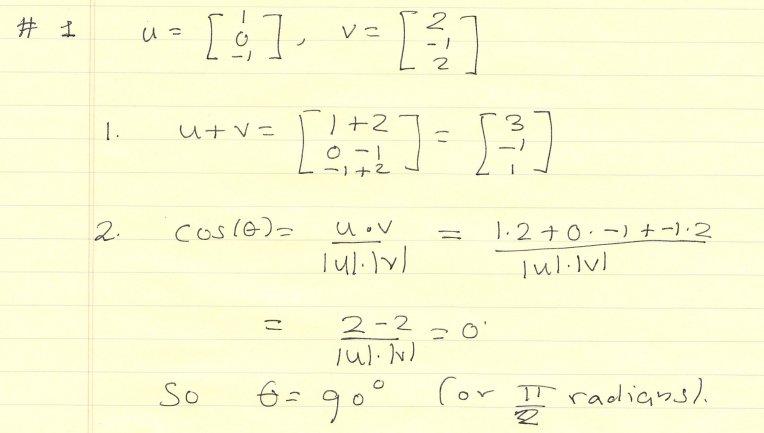
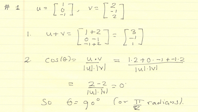
Problem 1. Let u = 1 0 −1 and v = 2 −1 2 . 1. ...
Problem 1. Let u = 1 0 −1 and v = 2 −1 2 . 1. Compute...