Subjects
Online Tutoring
Homework Help
Homework Library
Tutors
Online Classes
More
Bookstore
Blog
Technical Tips
FAQ
Contact Us
Get Help Now
Home
Homework Library
Mathematics
Algebra
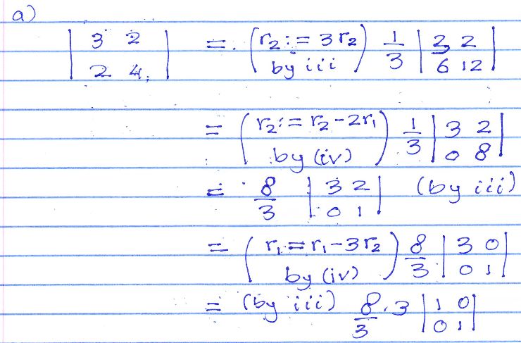
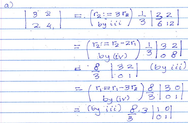
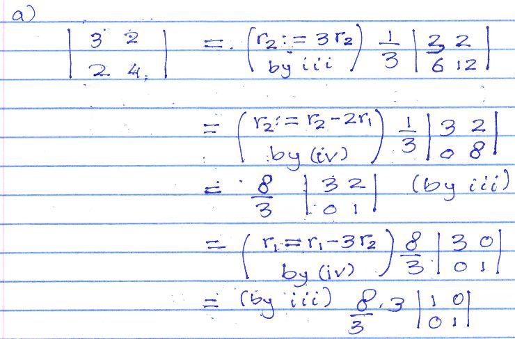
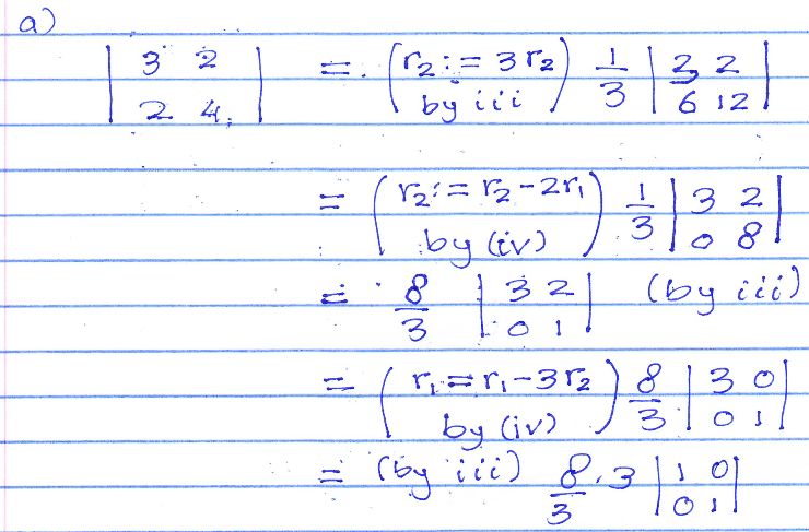
Mathematics – Linear algebra I: matrix algebra Determinants...
Mathematics – Linear algebra I: matrix algebra Determinants by w...