Subjects
Online Tutoring
Homework Help
Homework Library
Tutors
Online Classes
More
Bookstore
Blog
Technical Tips
FAQ
Contact Us
Get Help Now
Home
Homework Library
Mathematics
Algebra
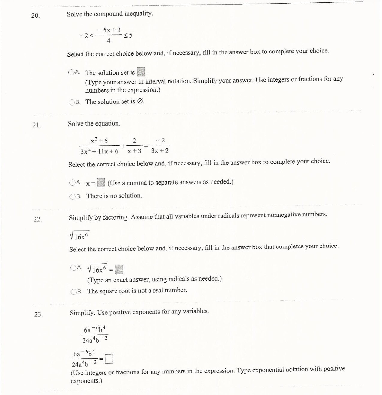
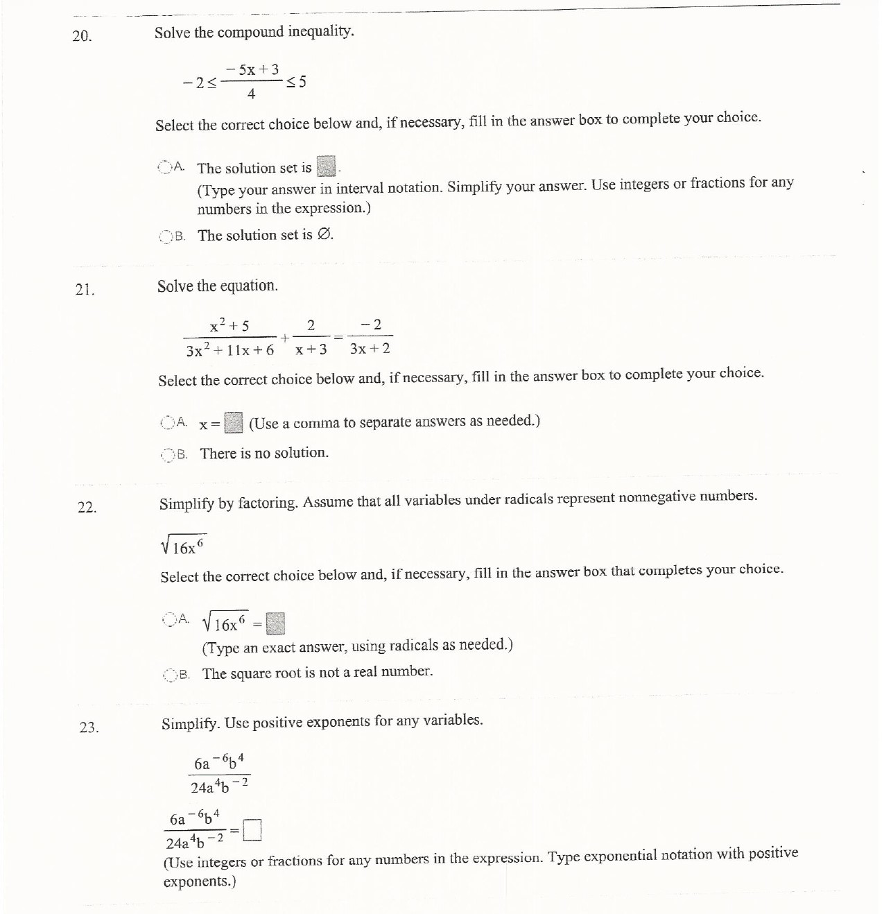
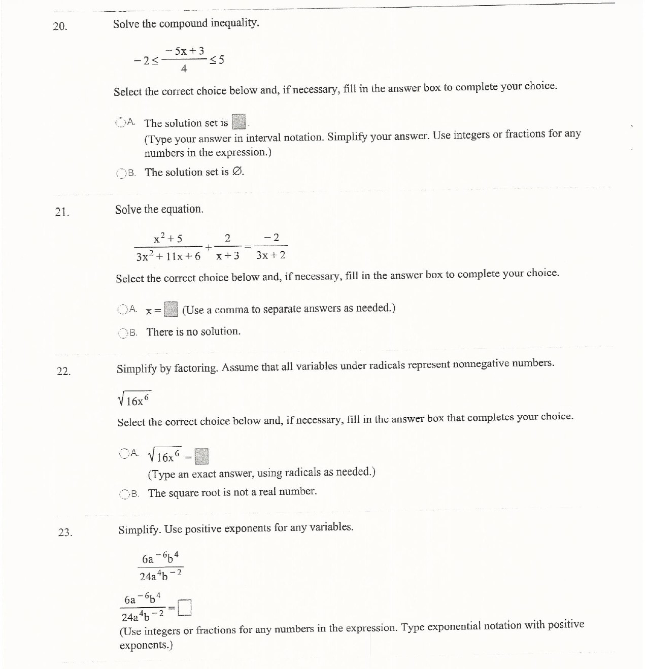
1. Solve the equation. 3 x-4)+x=4(x-6)+1 Select the correct choi...
1. Solve the equation. 3 x-4)+x=4(x-6)+1 Select the correct choi...