Subjects
Online Tutoring
Homework Help
Homework Library
Tutors
More
Bookstore
Blog
Technical Tips
FAQ
Contact Us
Get Help Now
Home
Homework Library
Mathematics
Algebra
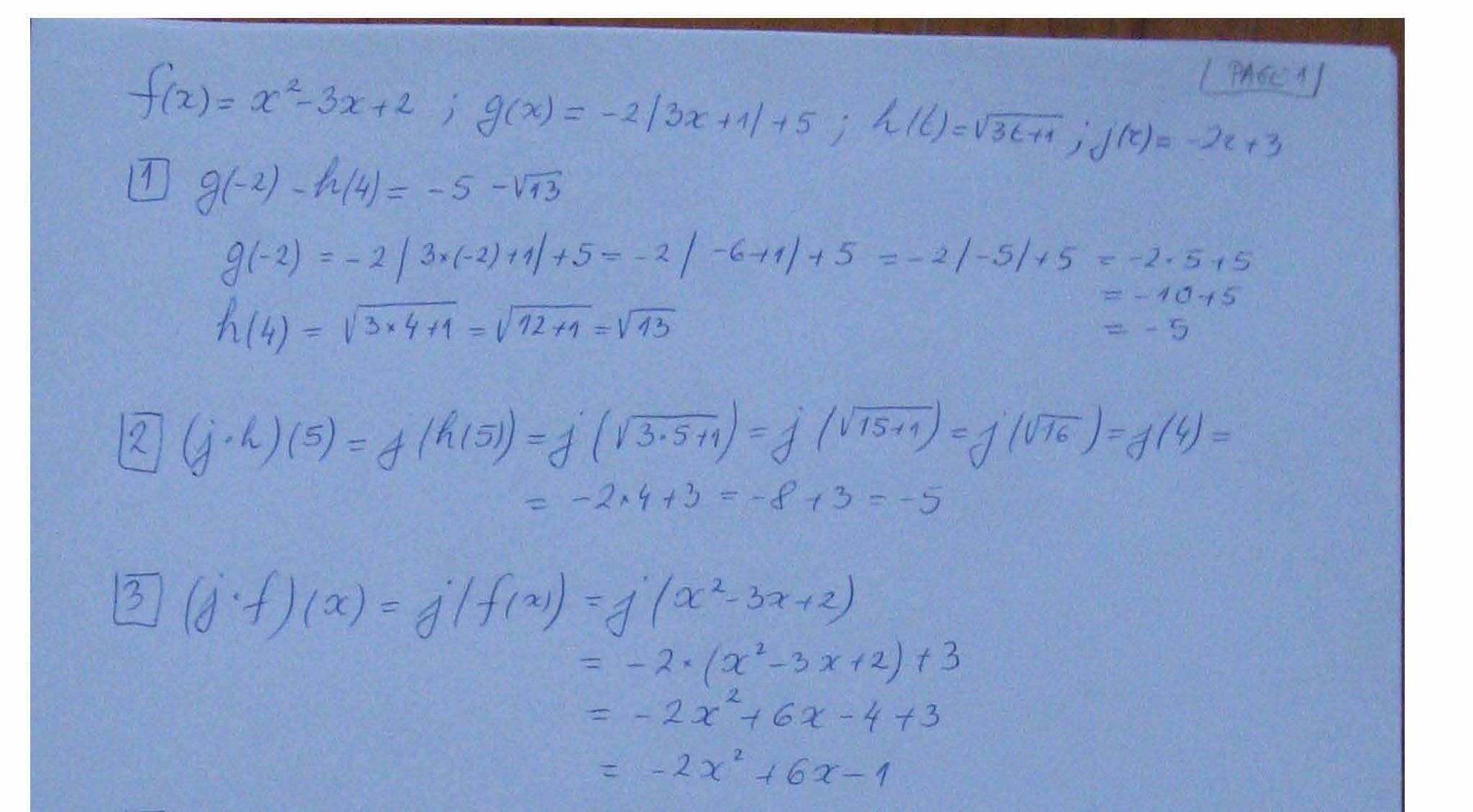
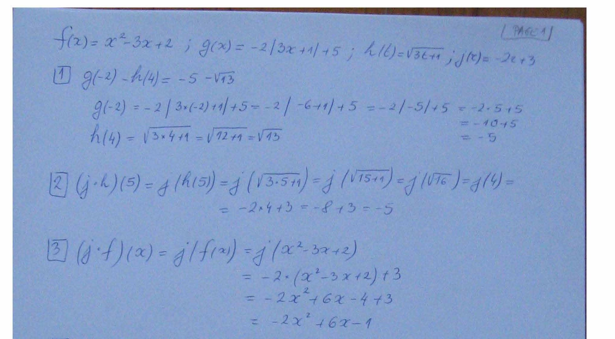
Use f(x) = x² - 3x+2;g(x)= -2/3x+1/+5;h(t)=3t+1;j(r)=-2r+3 - fo...
Use f(x) = x² - 3x+2;g(x)= -2/3x+1/+5;h(t)=3t+1;j(r)=-2r+3 - for...