Subjects
Online Tutoring
Homework Help
Homework Library
Tutors
More
Bookstore
Blog
Technical Tips
FAQ
Contact Us
Get Help Now
Home
Homework Library
Mathematics
Algebra
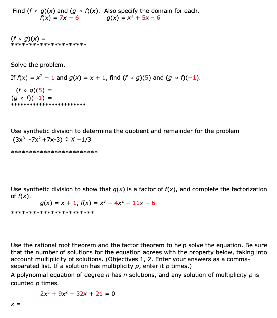
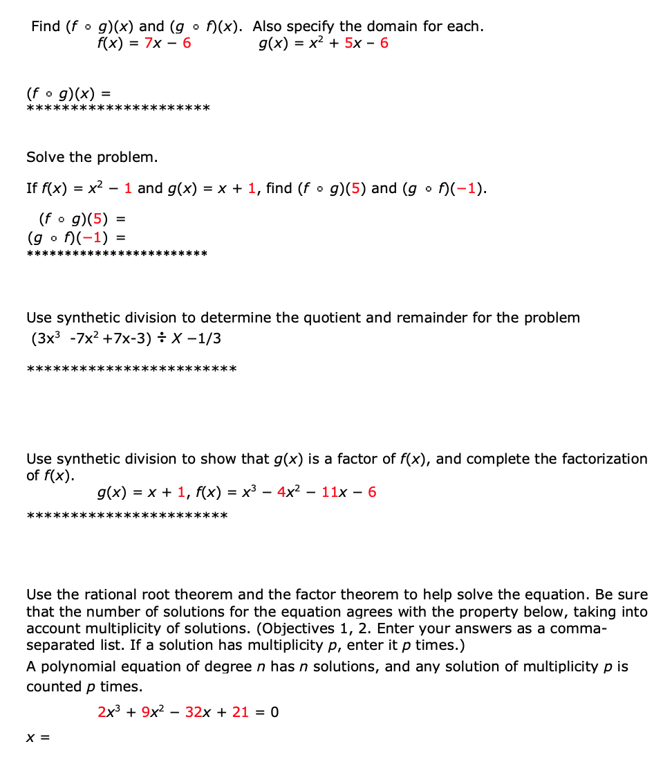
Find (f g)(x) and (g " f)(x). Also specify the domain for eac...
Find (f g)(x) and (g " f)(x). Also specify the domain for eac...