Subjects
Online Tutoring
Homework Help
Homework Library
Tutors
Online Classes
More
Bookstore
Blog
Technical Tips
FAQ
Contact Us
Get Help Now
Home
Homework Library
Mathematics
Algebra
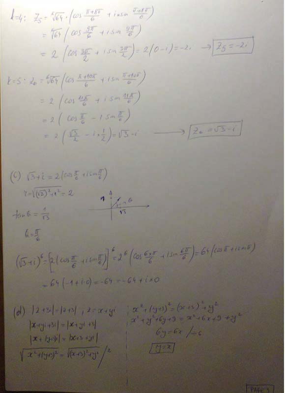
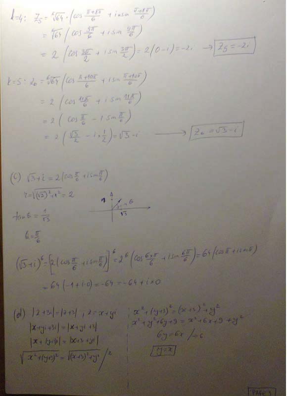
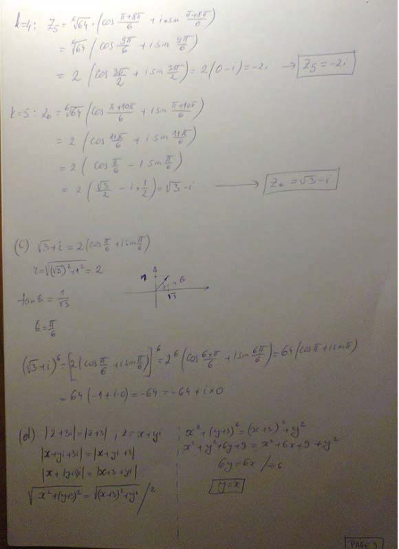
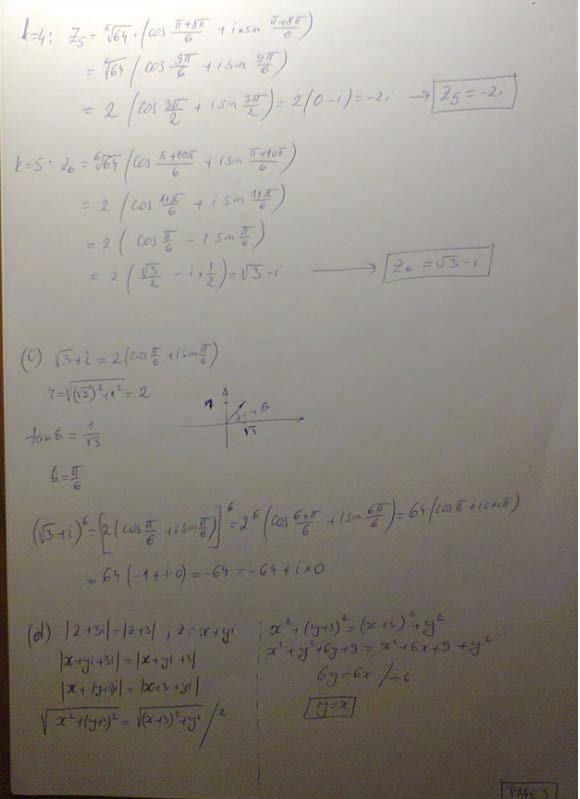
1. [10 marks] (a) Write down the set {−3/2, 9/4,−27/6,...
1. [10 marks] (a) Write down the set {−3/2, 9/4,−27/6, 81/8, ....