Subjects
Online Tutoring
Homework Help
Homework Library
Tutors
More
Bookstore
Blog
Technical Tips
FAQ
Contact Us
Get Help Now
Home
Homework Library
Mathematics
Algebra
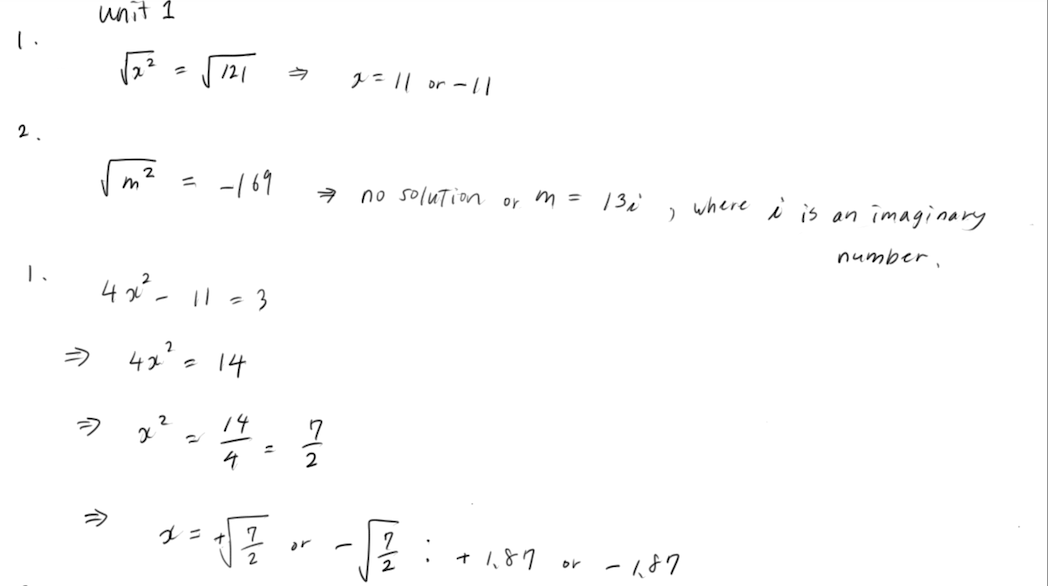
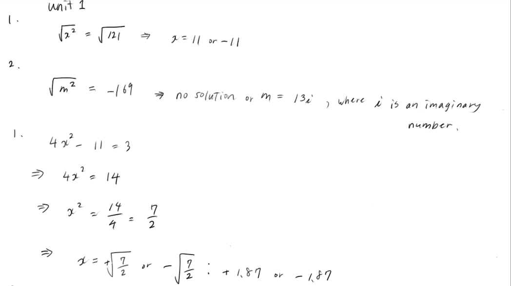
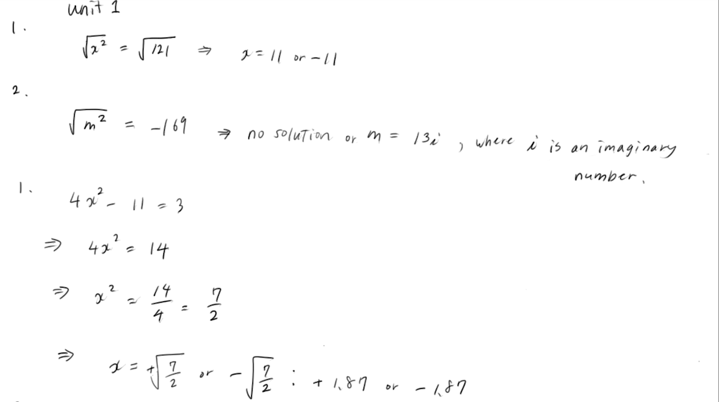
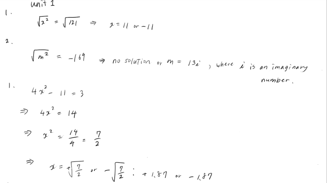
Given that x^2 = 36 Solve for X 1. Solve for X if x2 = 121 Step 1...
Given that x^2 = 36 Solve for X 1. Solve for X if x2 = 121 Step 1...