Subjects
Online Tutoring
Homework Help
Homework Library
Tutors
More
Bookstore
Blog
Technical Tips
FAQ
Contact Us
Get Help Now
Home
Homework Library
Mathematics
Algebra
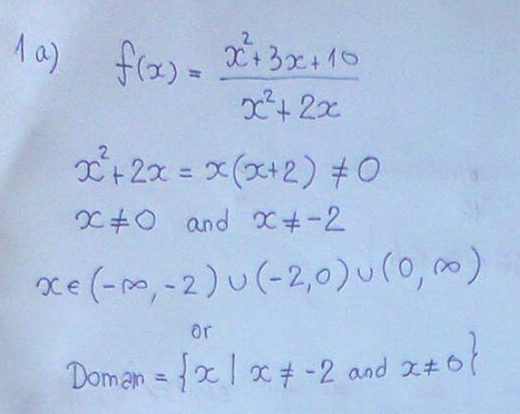
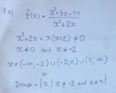
Domain Rational Functions la Determine the domain of tine function...
Domain Rational Functions la Determine the domain of tine function...