Subjects
Online Tutoring
Homework Help
Homework Library
Tutors
More
Bookstore
Blog
Technical Tips
FAQ
Contact Us
Get Help Now
Home
Homework Library
Mathematics
Algebra
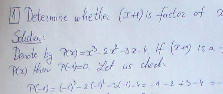
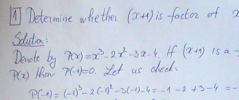
1. Determine whether (x+1) is a factor of x³ – 2x²â...
1. Determine whether (x+1) is a factor of x³ – 2x²– 3x –...