Subjects
Online Tutoring
Homework Help
Homework Library
Tutors
Online Classes
More
Bookstore
Blog
Technical Tips
FAQ
Contact Us
Get Help Now
Home
Homework Library
Mathematics
Algebra
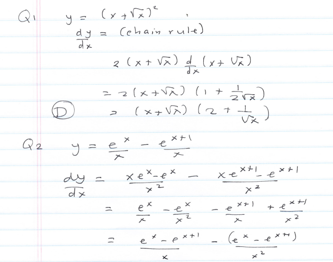
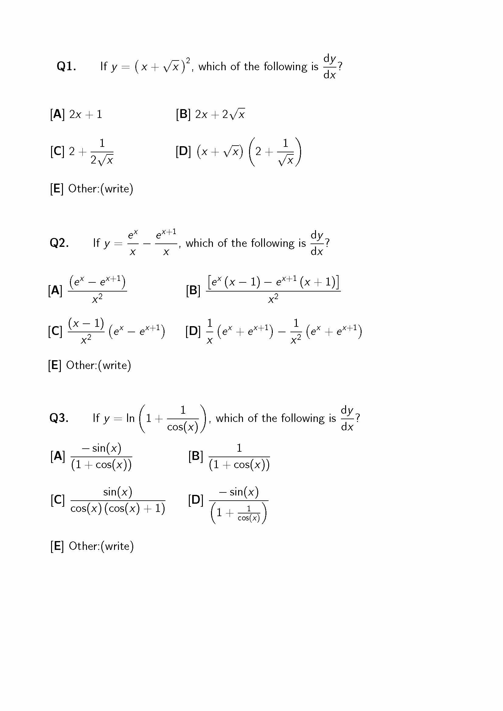
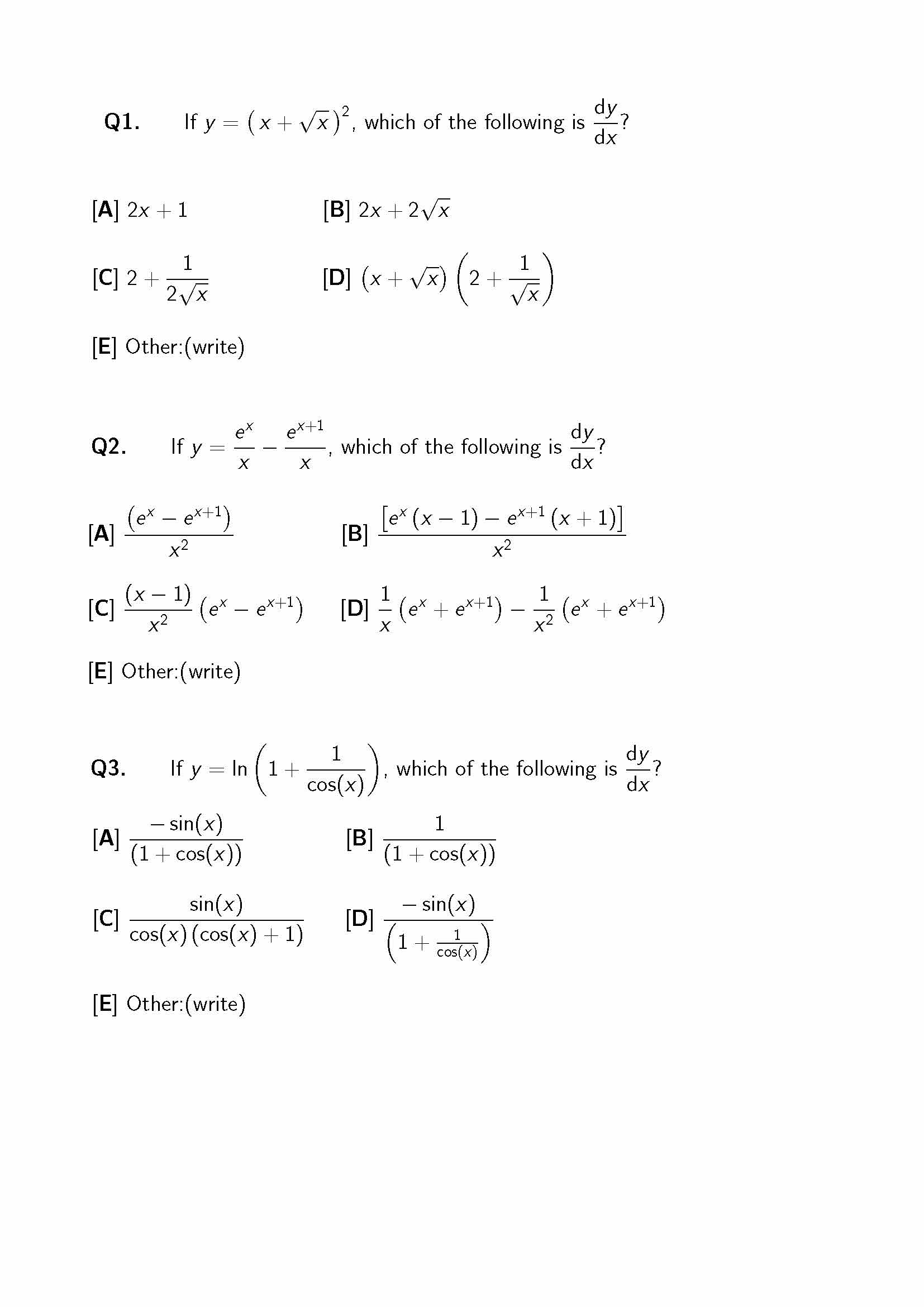
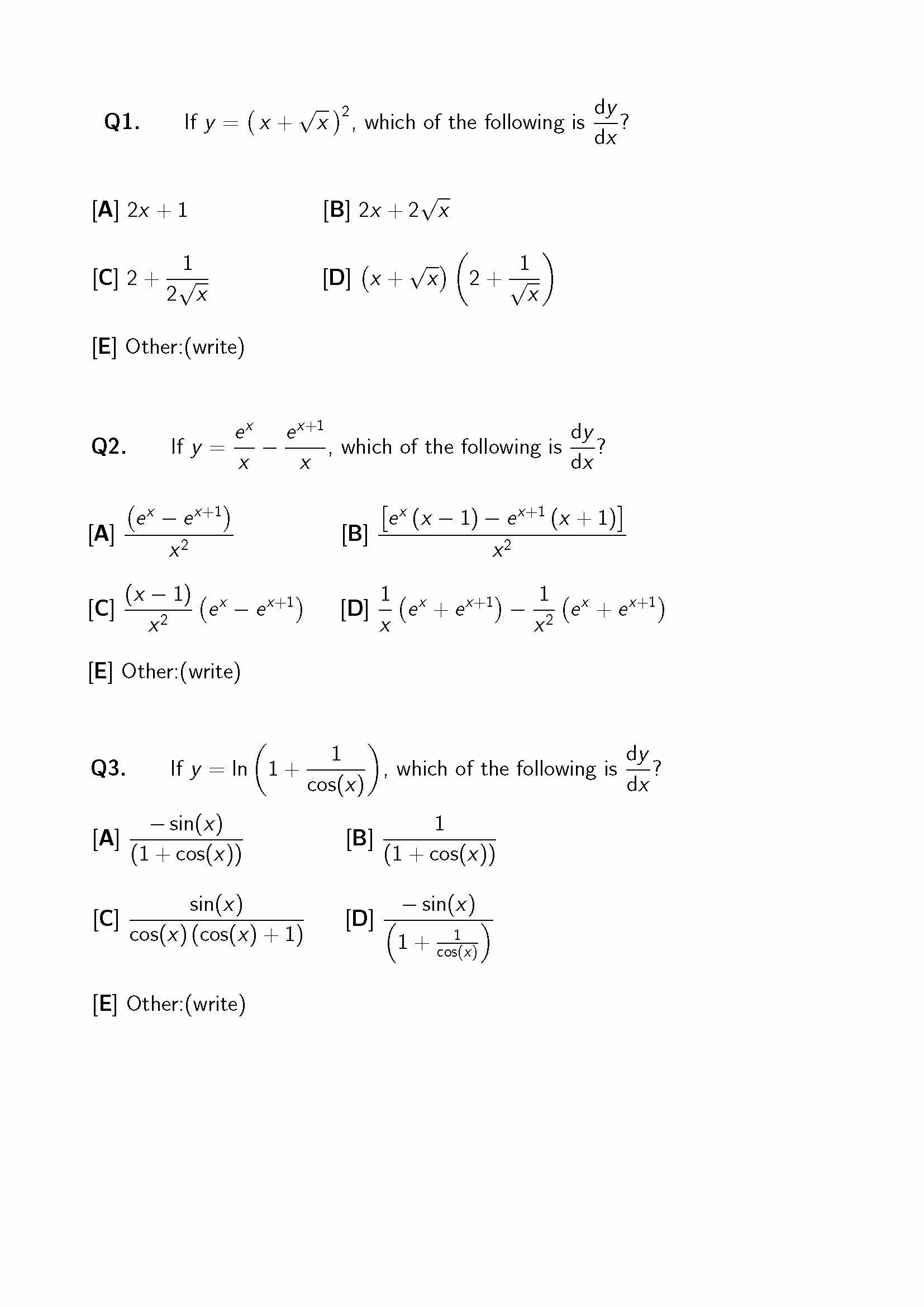
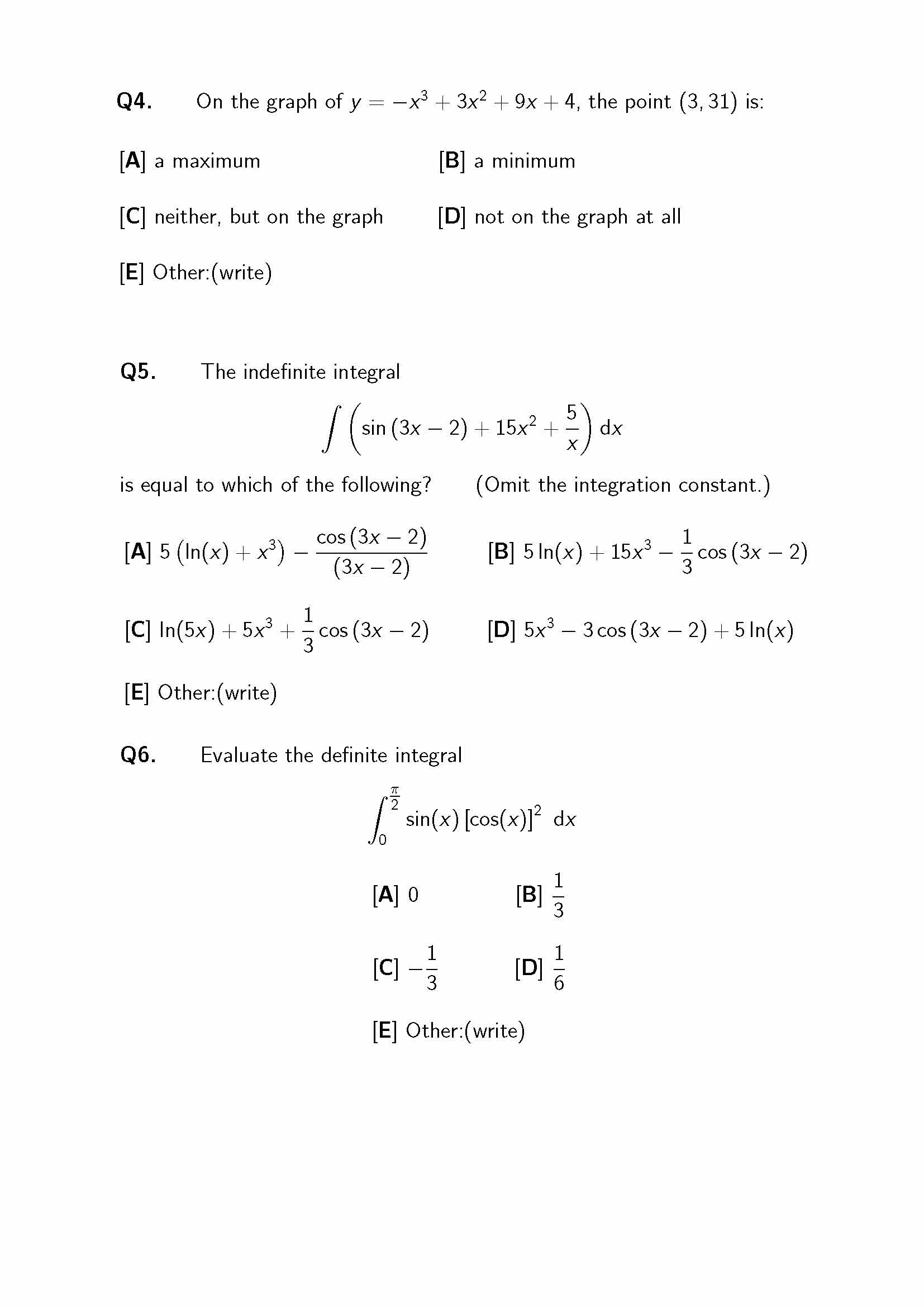
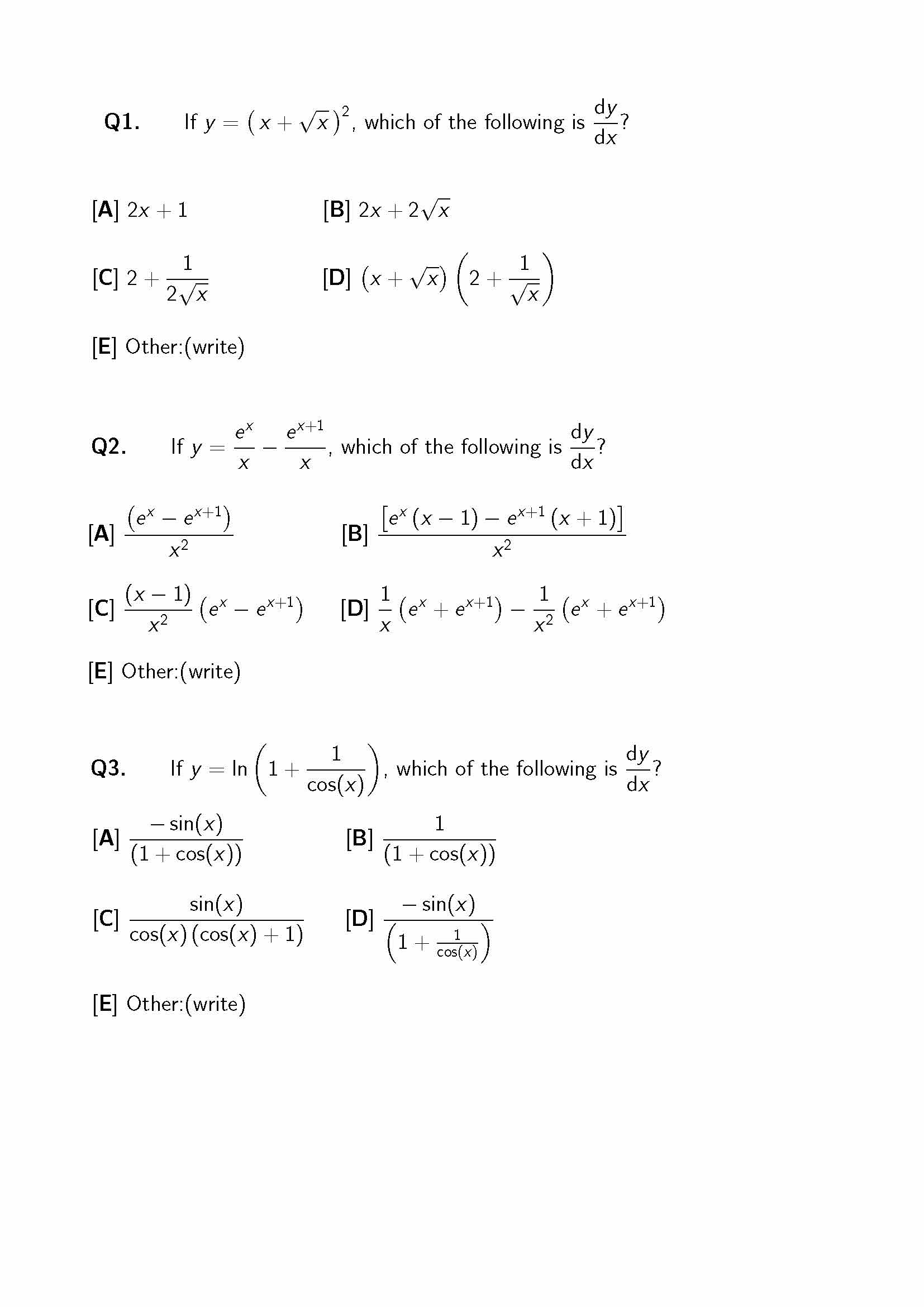
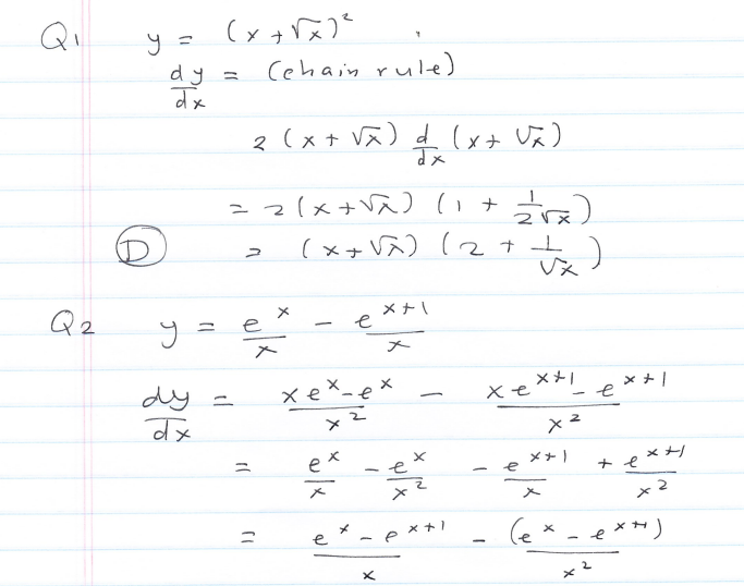
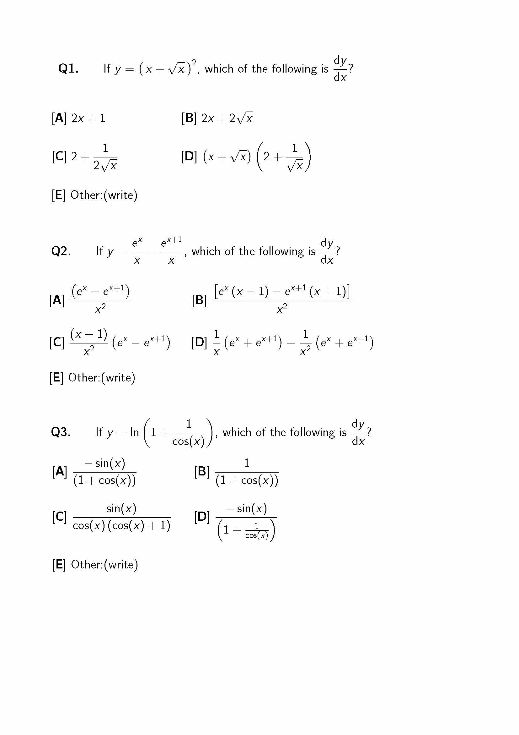
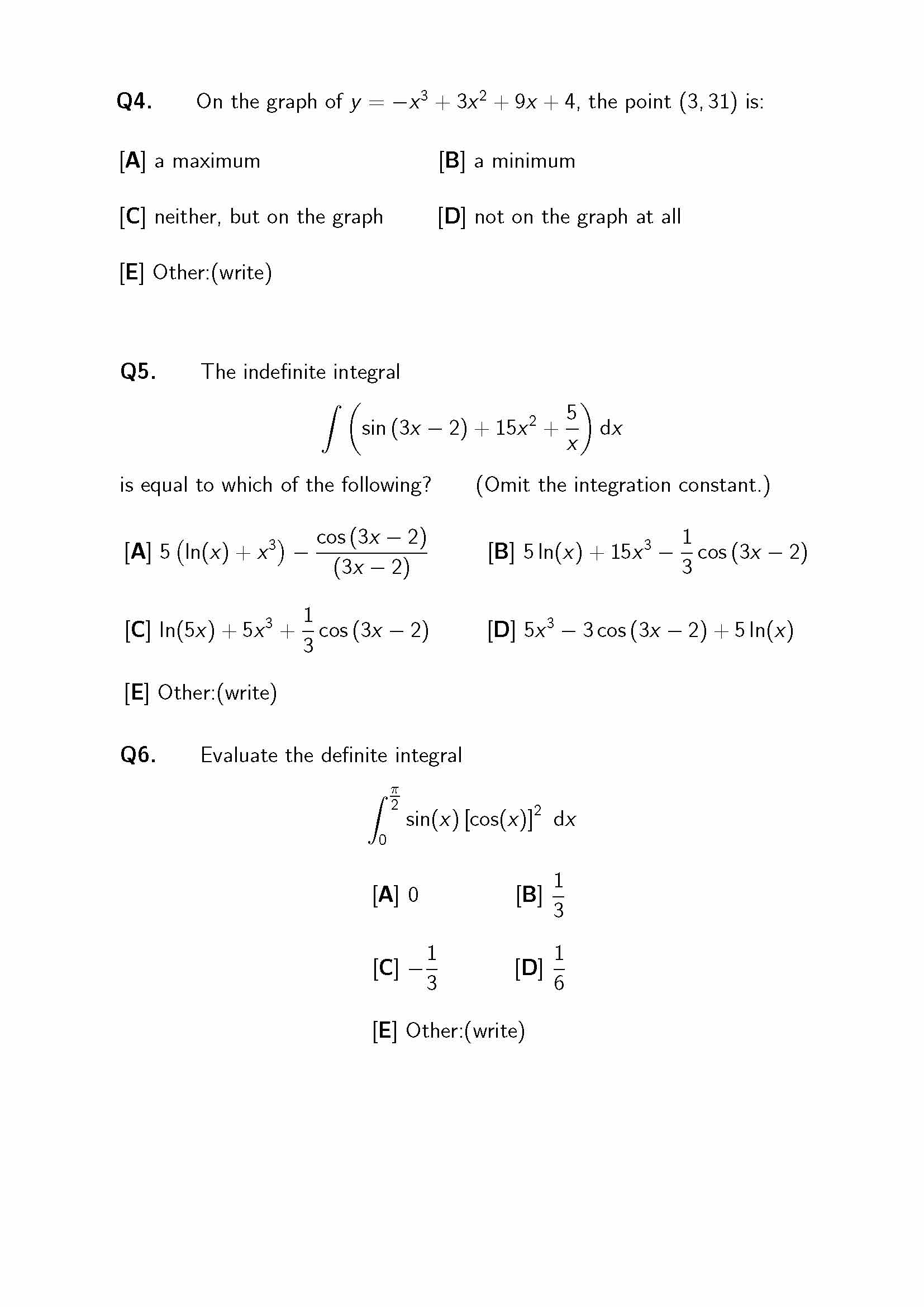
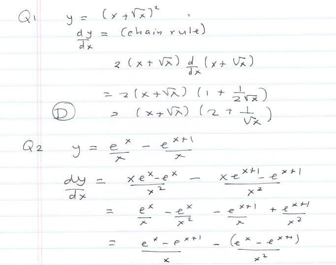
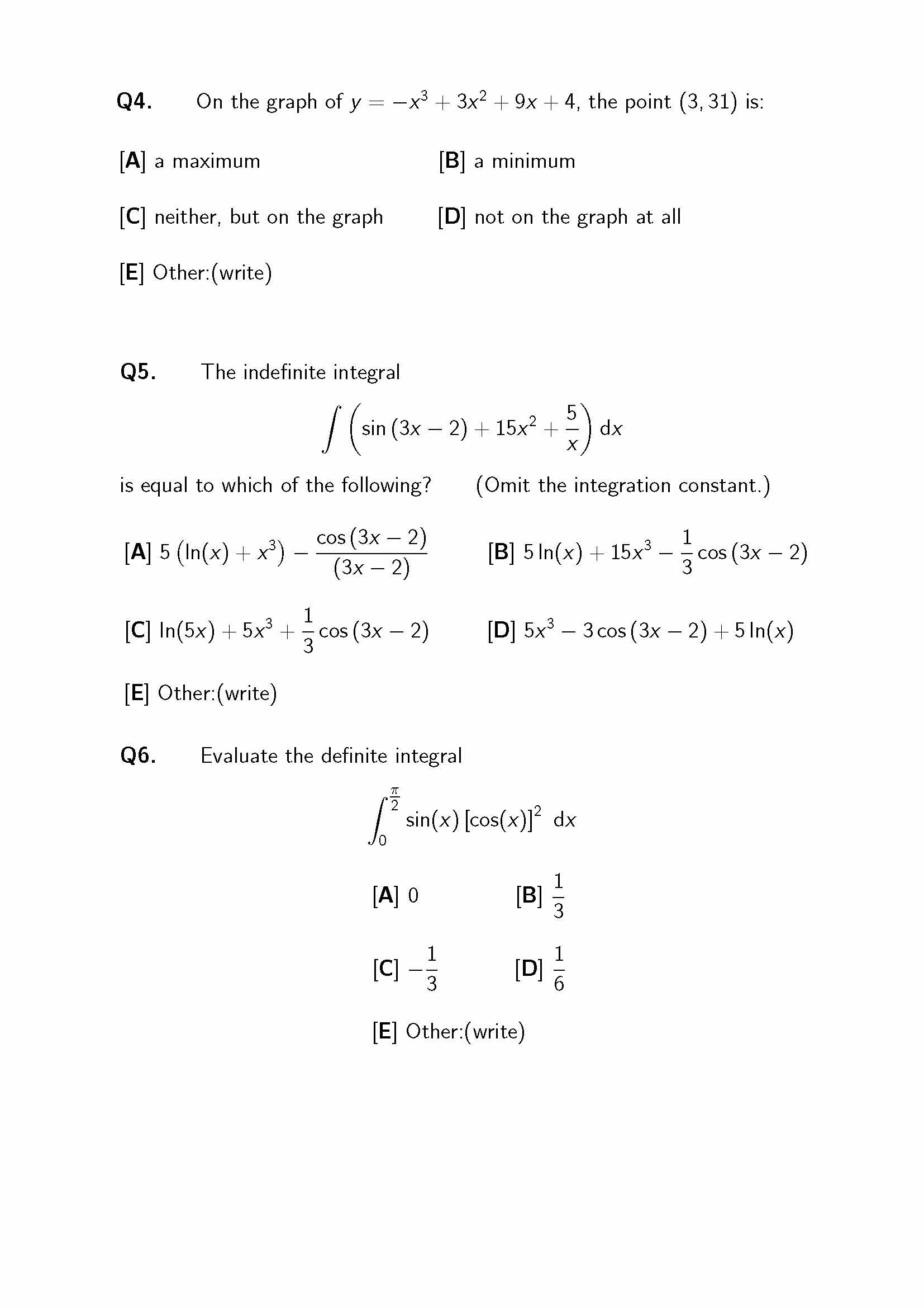
Q1. 1fy=(x+vv)? which of the following is dy, dx [A]2x+1 [B]2x+2...
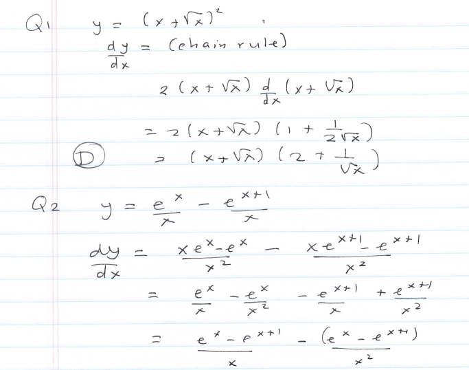
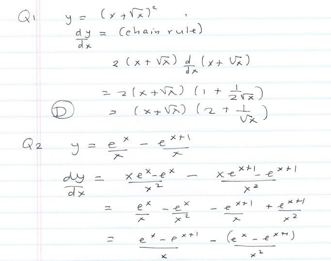
Q1. 1fy=(x+vv)? which of the following is dy, dx [A]2x+1 [B]2x+2...