Subjects
Online Tutoring
Homework Help
Homework Library
Tutors
Online Classes
More
Bookstore
Blog
Technical Tips
FAQ
Contact Us
Get Help Now
Home
Homework Library
Mathematics
Algebra
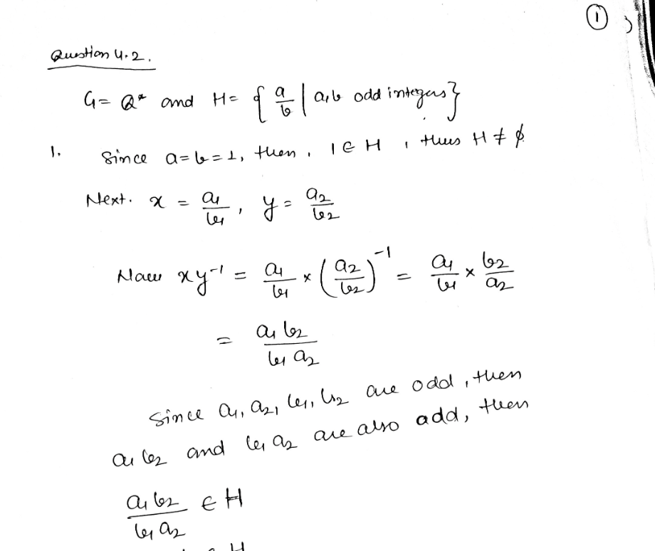
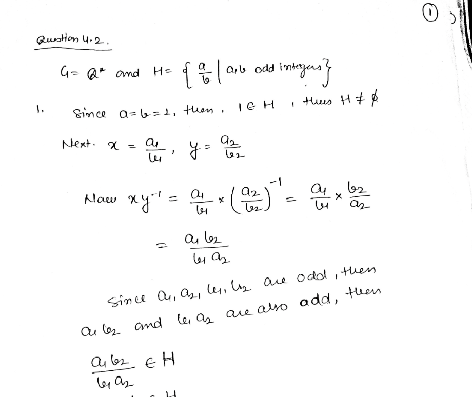
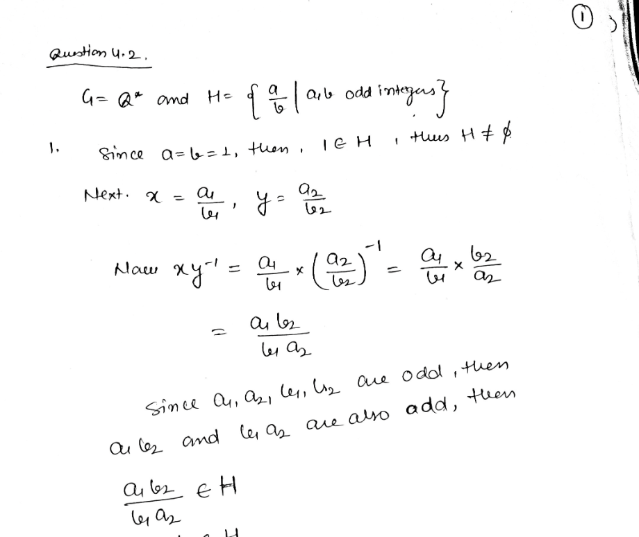
Question 4.2 Let G = Q* and H={ = a, b odd integers} 1. Show that...
Question 4.2 Let G = Q* and H={ = a, b odd integers} 1. Show that...