Subjects
Online Tutoring
Homework Help
Homework Library
Tutors
Online Classes
More
Bookstore
Blog
Technical Tips
FAQ
Contact Us
Get Help Now
Home
Homework Library
Mathematics
Algebra
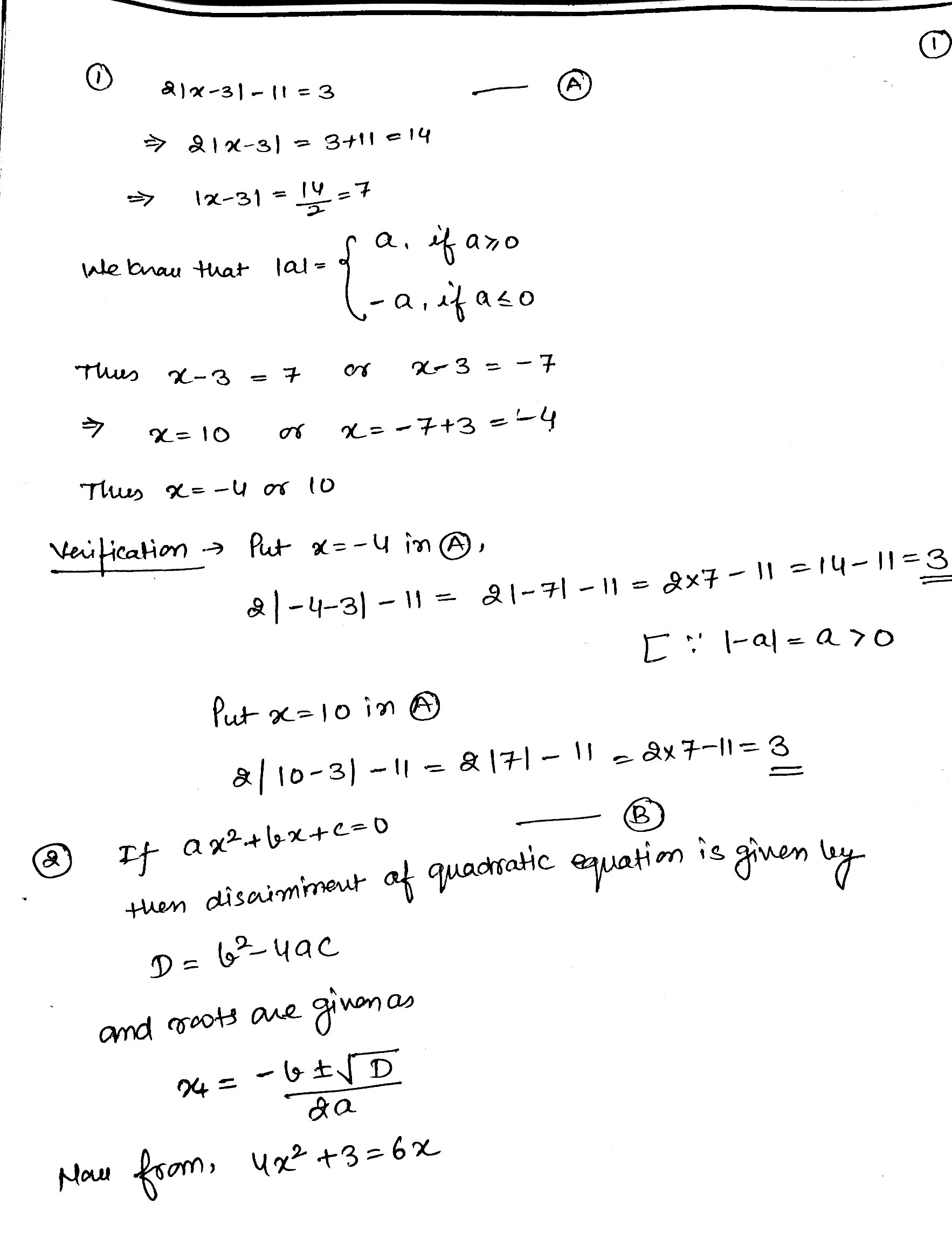
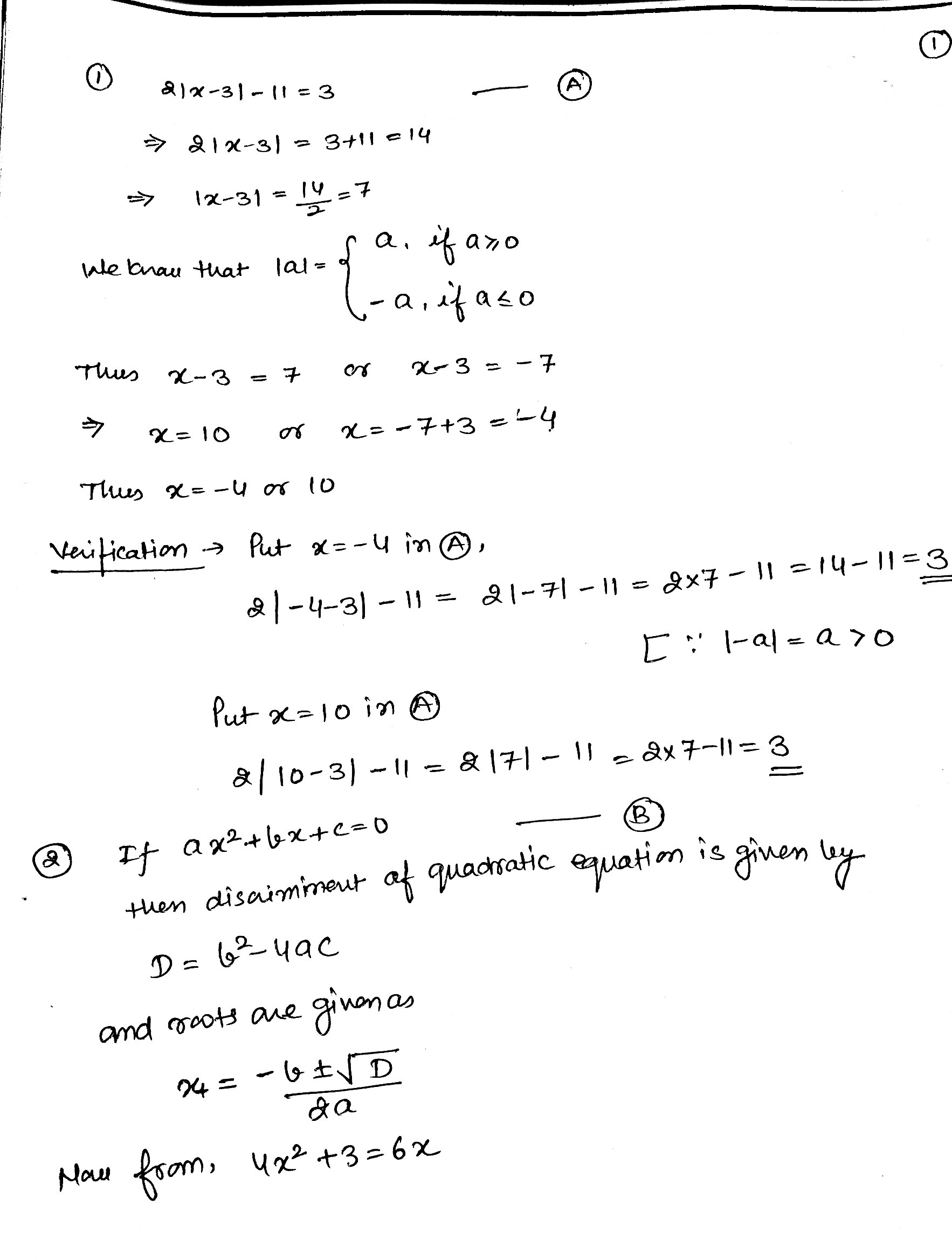
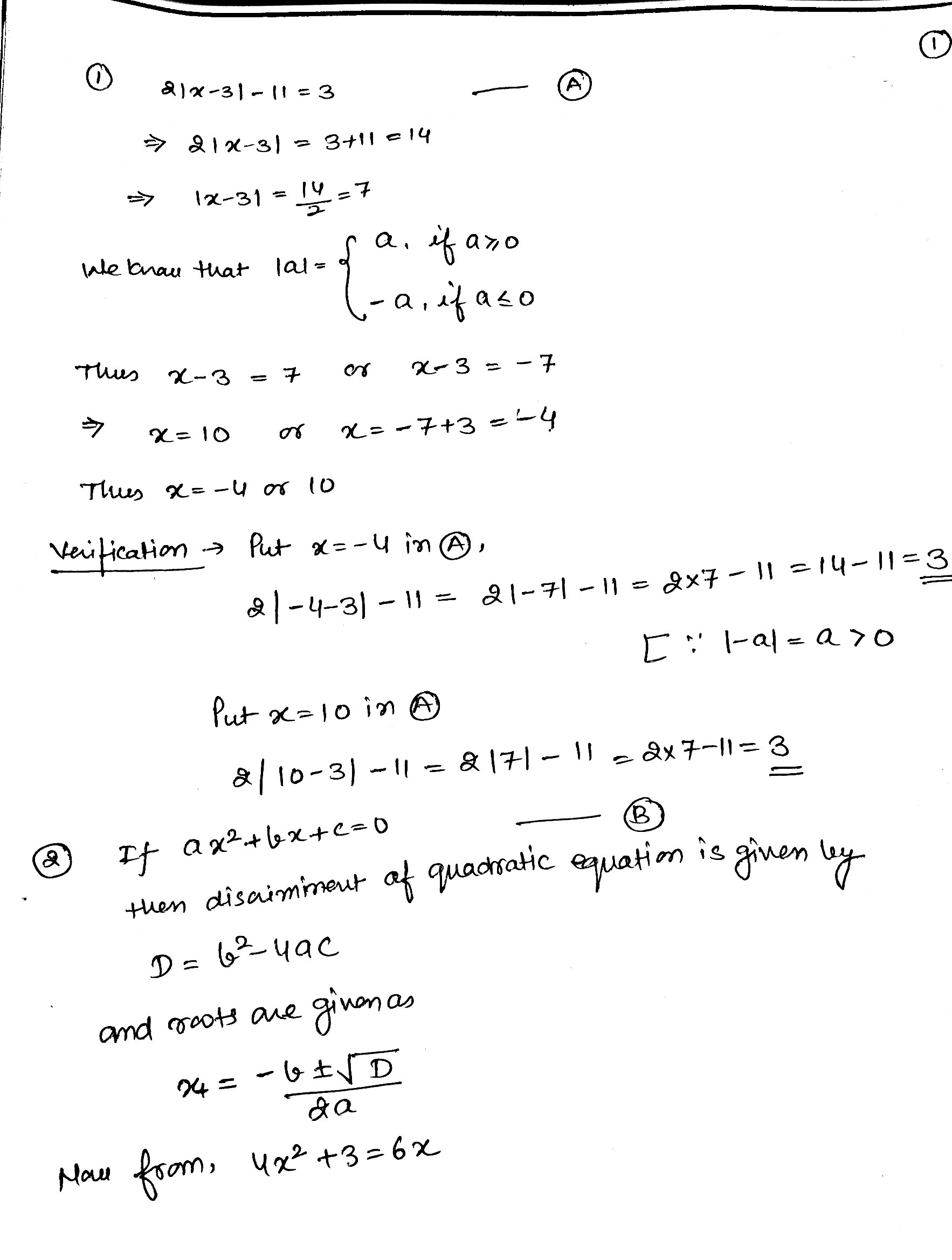
1. Solve 2/x - 3 - 11 = 3. 2. Find the discriminant D and the num...
1. Solve 2/x - 3 - 11 = 3. 2. Find the discriminant D and the num...