Subjects
Online Tutoring
Homework Help
Homework Library
Tutors
Online Classes
More
Bookstore
Blog
Technical Tips
FAQ
Contact Us
Get Help Now
Home
Homework Library
Mathematics
Algebra
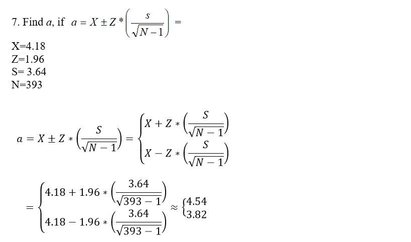
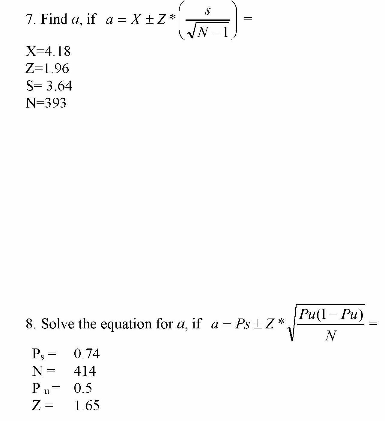
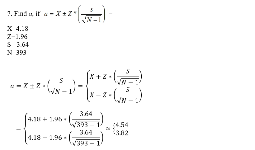
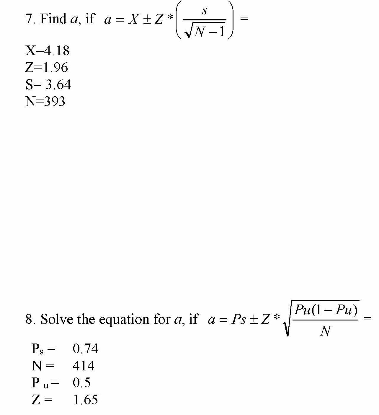
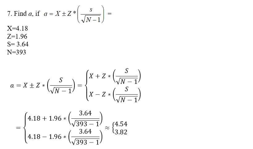
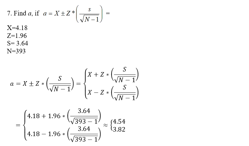
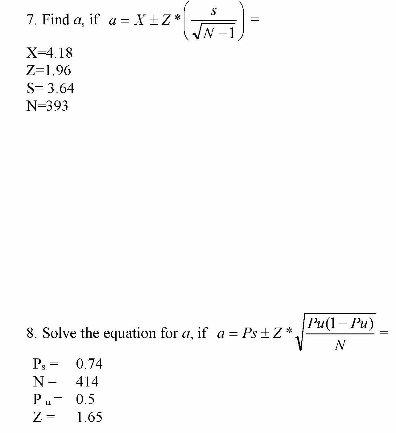
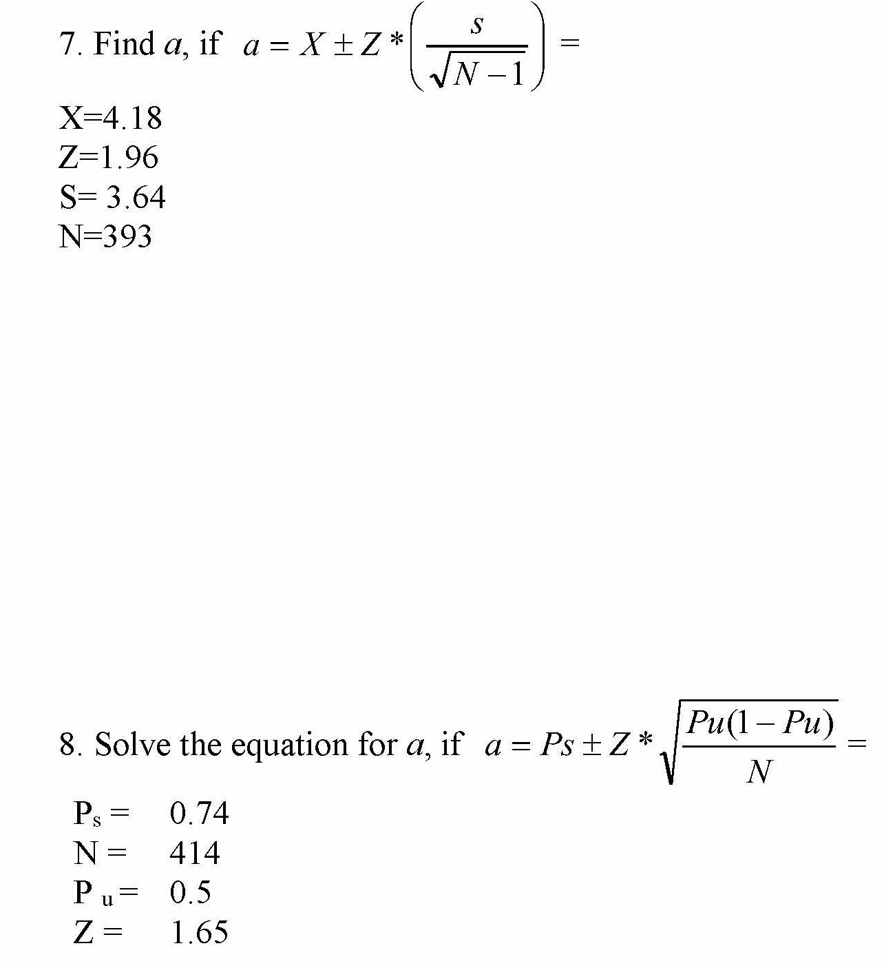
7. a = Find a, if X +Z* 5 ) = N 1 X=4.18 Z=1.96 S= 3.64 N=393...
7. a = Find a, if X +Z* 5 ) = N 1 X=4.18 Z=1.96 S= 3.64 N=393...