Subjects
Online Tutoring
Homework Help
Homework Library
Tutors
Online Classes
More
Bookstore
Blog
Technical Tips
FAQ
Contact Us
Get Help Now
Home
Homework Library
Mathematics
Algebra
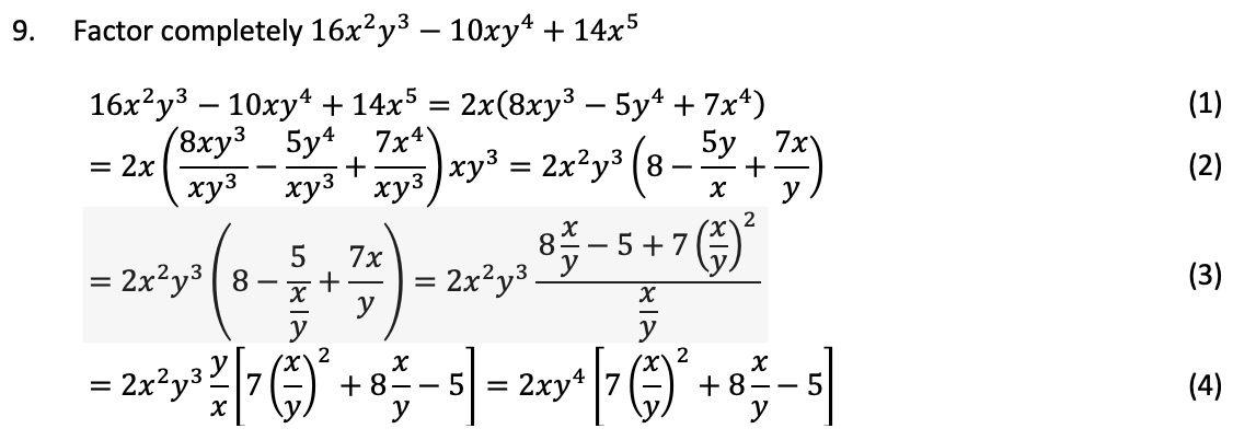
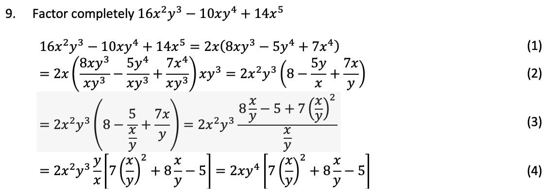
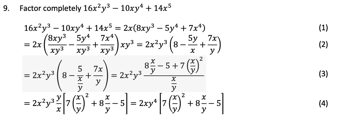
9. Factor completely 16x2y3 I - 10xy4 + 14x5 10. Factor completely...
9. Factor completely 16x2y3 I - 10xy4 + 14x5 10. Factor completely...