Subjects
Online Tutoring
Homework Help
Homework Library
Tutors
Online Classes
More
Bookstore
Blog
Technical Tips
FAQ
Contact Us
Get Help Now
Home
Homework Library
Mathematics
Algebra
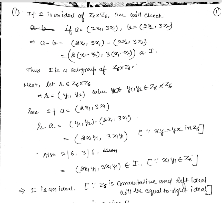
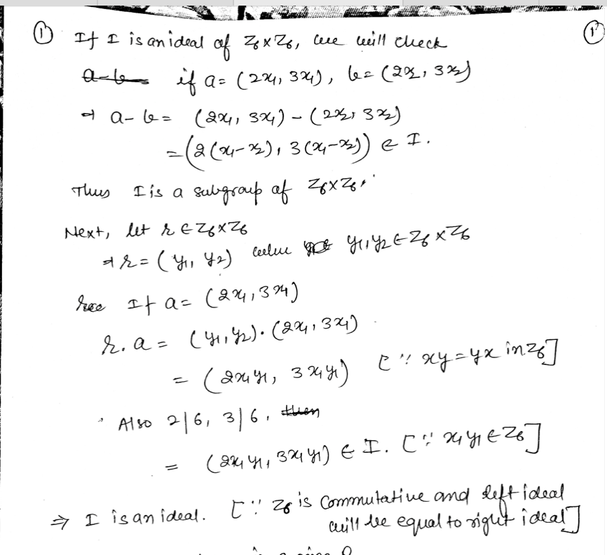
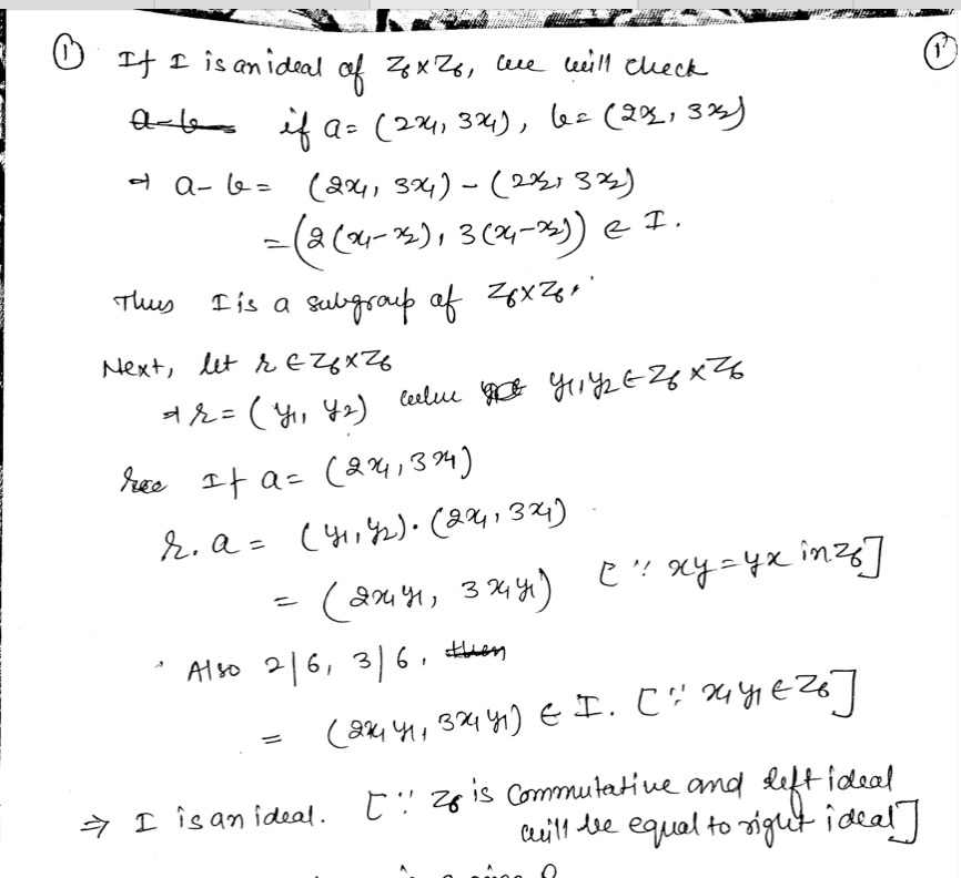
1. Determine whether I = {(2x,3x) x € Z6} is an ideal in R = ...
1. Determine whether I = {(2x,3x) x € Z6} is an ideal in R = Zi6...